Indool

Indool
Structuurformule en molecuulmodel
Structuurformule van indool
Structuurformule van indool
Molecuulmodel van indool
Molecuulmodel van indool
Algemeen
Chemische formule C8H7N
IUPAC-naam indool
Andere namen 2,3-benzopyrrool, ketool, 1-benzazool
Molaire massa 117,15 g/mol
SMILES
C1(NC=C2)=C2C=CC=C1
InChI
1/C8H7N/c1-2-4-8-7(3-1)5-6-9-8/h1-6,9H
CAS-nummer 120-72-9
EG-nummer 204-420-7
Wikidata Q319541
Beschrijving Witte vaste stof
Waarschuwingen en veiligheids­maatregelen
CorrosiefToxischMilieugevaarlijk
Gevaar
H-zinnen H302 - H311 - H315 - H318 - H335 - H400
EUH-zinnen geen
P-zinnen P261 - P273 - P280 - P305+P351+P338 - P312
Hygroscopisch? ja
Fysische eigenschappen
Aggregatie­toestand vast
Kleur wit
Dichtheid 1,22 g/cm³
Smeltpunt 52,5 °C
Kookpunt 254 °C
Vlampunt 121 °C
Oplosbaarheid in water (bij 20°C) 1,9 g/L
Goed oplosbaar in heet water, di-ethylether, benzeen
Evenwichts­constante(n) pKa = 16,2
Tenzij anders vermeld zijn standaardomstandigheden gebruikt (298,15 K of 25 °C, 1 bar).
Portaal  Portaalicoon   Scheikunde

Indool is een heterocyclische aromatische verbinding met als brutoformule C8H7N. De verbinding is een bicyclische structuur, bestaande uit een benzeen- en een pyrroolring. De naam indool is een samentrekking van de woorden indigo en oleum, omdat indool voor het eerst verkregen was na behandeling van de kleurstof indigo met oleum.

Indool komt voor als een witte vaste stof met de zeer onaangename geur van ontlasting. Daar tegenover staat dat in zeer lage concentraties de geur meer de indruk wekt van bloemen: indool is een standaard bestanddeel van de geuren van meerdere bloemen of parfums. De verbinding komt ook voor in koolteer.

De indoolstructuur treedt op in een groot aantal verbindingen: het aminozuur tryptofaan en in tryptofaan-bevattende eiwitten, in alkaloïden en in pigmenten (betalaïne).

Geschiedenis

Baeyers oorspronkelijke structuur voor indool (1869).

De indoolchemie ontstond als spin-off van de studies naar de kleurstof indigo. Het indigo werd omgezet in isatine, vervolgens in oxindool. In 1866 slaagde Adolf von Baeyer erin oxindool te reduceren tot indool. Hij gebruikte daarbij zinkpoeder.[1] In 1869 stelde Baeyer de structuurformule op voor indool, die ook vandaag nog geaccepteerd wordt.[2]

Bepaalde indoolderivaten waren tot het einde van de 19e eeuw belangrijk als kleurstof voor de verfindustrie. In de jaren 30 van de 20e eeuw werd indool belangrijk vanwege de aanwezigheid van de basisstructuur in veel belangrijke alkaloïden, in tryptofaan en auxines. Ook vandaag de dag is indoolchemie nog steeds een actief researchterrein.[3]

Synthese van indool

Indool is een van de grote componenten in koolteer. De destillatiefractie die tussen 220-260 °C opgevangen wordt is de voornaamste industriële bron. Voor indool en zijn derivaten is een hele reeks syntheses beschikbaar.[4][5][6]

Fischer-indoolsynthese

Zie Fischer-indoolsynthese voor het hoofdartikel over dit onderwerp.

Een van de oudste en meest betrouwbare syntheseroutes naar gesubstitueerde indolen is de Fischer-indoolsynthese, een zuurgekatalyseerde reactie tussen (eventueel gesubstitueerd) fenylhydrazine en een aldehyde of keton. De methode werd in 1883 ontwikkeld door Emil Fischer. Hoewel indool zelf niet makkelijk toegankelijk is via deze route, is dit een methode om gesubstitueerde indolen te bereiden.

Fischer-indoolsynthese

Leimgruber-Batcho-indoolsynthese

Zie Leimgruber-Batcho-indoolsynthese voor het hoofdartikel over dit onderwerp.

De Leimgruber-Batcho-indoolsynthese is een efficiënte methode om met een hoge opbrengst indool en gesubstituteerde indolen te bereiden. De methode is voor het eerst beschreven in een patent uit 1976. Met name in de farmaceutische industrie is deze synthese populair, omdat veel actieve verbindingen uit specifiek gesubstitueerde indolen bestaan.

Leimgruber-Batcho-indoolsynthese

Andere reacties

In de Diels-Reese-reactie reageert dimethylacetyleendicarboxylaat met hydrazobenzeen tot een adduct dat in xyleen aanleiding geeft tot dimethylindool-2,3-dicarboxylaat en aniline.[7][8] Met andere oplosmiddelen worden andere producten gevormd: in azijnzuur wordt een pyrazolon en in pyridine een chinoline gevormd.

Eigenschappen en voorkomen

Indool is aromatisch en ondergaat een elektrofiele aromatische substitutie, meestal op de 3-positie. Gesubstituteerde indolen vormen de structurele bouwstenen, en van een aantal ook de synthetische, voor de op tryptofaan-gebaseerde tryptamine-alkaloïden, zoals de neurotransmitter, serotonine, melatonine, psilocybine, dimethyltryptamine, 5-MeO-DMT, of de ergolines zoals LSD. Een andere groep indool-achtige verbindingen omvat het plantenhormoon auxine, indometacine (ontstekingsremmer) en de bètablokker pindolol.

De deelname van het vrij elektronenpaar op stikstof aan de aromaticiteit in de verbinding, betekent dat indool nauwelijks basisch is en het zich dus niet gedraagt als een amine.

Chemische reacties van indool

Basische reacties van het stikstofatoom

Hoewel het stikstofatoom in indool over een vrij elektronenpaar beschikt is indool niet basisch zoals de amines en anilines. Het vrije elektronenpaar is gedelokaliseerd in het aromatisch systeem. Het geconjugeerd zuur heeft een pKa van −3,6. Dit betekent dat alleen de zeer sterke zuren in staat zijn indool voor een belangrijk deel te protoneren. De ontleding van indolen onder zure omstandigheden verloopt via de geprotoneerde vorm.

Elektrofiele aromatische substitutie

De meest reactieve positie in indool voor elektrofiele aromatische substitutie is koolstofatoom 3. De reactie hier verloopt 1013 keer sneller dan met benzeen. De Vilsmeier-Haack-reactie is een formylering van indool en verloopt bij kamertemperatuur uitsluitend op positie 3.[9] Omdat de pyrroolring het meest reactieve deel van het molecule vormt, treedt nucleofiele substitutie van de benzeenring pas op nadat de posities N-1, C-2 en C-3 gesubstitueerd zijn.

Vilsmeyer-Haack-formylering van indool
Vilsmeyer-Haack-formylering van indool

Gramine, een goed bruikbaar intermediair, wordt via een Mannich-reactie van indool met dimethylamine en formaldehyde bereid.

De synthese van gramine uit indool
De synthese van gramine uit indool

Reacties met indool-anionen

Het proton op stikstof bezit een pKa van 21 in DMSO. Dit betekent dat alleen zeer sterke basen zoals natriumhydride of n-butyllithium in combinatie met watervrije omstandigheden noodzakelijk zijn voor totale deprotonering. Zouten van het resulterende indool-anion kunnen op twee manieren reageren. De sterk ionogene zouten zoals de natrium- of kaliumverbindingen reageren met elektrofielen op het stikstof, terwijl de meer covalent gebonden magnesiumverbindingen (Grignard-reagentia) en (vooral) zinkcomplexen doorgaans op koolstof-3 reageren. Hetzelfde gegeven vormt de achtergrond voor het feit dat in polair aprotische oplosmiddelen zoals DMF en DMSO de reactie op stikstof eerder optreedt. In het apolaire tolueen treedt weer reactie op koolstof-3 op.[10]

Reacties met indool-anionen
Reacties met indool-anionen

Organometaalreacties

Na het waterstofatoom aan stikstof is het waterstofatoom aan koolstof-2 het zuurste proton. Reactie van N-beschermde indolen (bijvoorbeeld N-methylindool) met n-butyllithium of LDA levert uitsluitend het 2-lithiumindoolderivaat. Dit sterke nucleofiel reageert als zodanig met een grote verscheidenheid aan elektrofielen.

Bergman en Venemalm ontwikkelden een techniek om ook niet-beschermde indolen op de 2-positie te lithiëren:[11]

De Bergman-Venemalm-reactie met organolithiumreagentia
De Bergman-Venemalm-reactie met organolithiumreagentia

Oxidatie

Ten gevolge van het elektronenrijke indoolsysteem treedt oxidatie makkelijk op. Een in het laboratorium veelgebruikte oxidator, N-broomsuccinimide, zal indool (1) vlot tot oxindool (5) oxideren:

Oxidatie van indool met N-broomsuccinimide
Oxidatie van indool met N-broomsuccinimide

Cycloaddities van indool

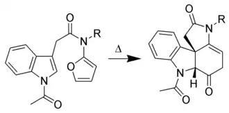
Alleen de dubbele binding tussen koolstof-2 en koolstof-3 van indool is in staat te reageren in cycloaddities. Intermoleculaire cycloaddities leveren vaak lage opbrengsten of niet de gewenste producten op. De intramoleculaire variant daarentegen geeft vaak een goede opbrengst. Zo kunnen gecompliceerde strychninederivaten bereid worden via een intramoleculaire Diels-Alderreactie.[12] Het 2-aminofuraandeel van de molecule is het dieen en indool is het diënofiel:

Intramoleculaire cycloadditie van indool
Intramoleculaire cycloadditie van indool

Intramoleculaire [2+3]- en [2+2]-cycloaddities zijn bekende reacties voor indolen.

Toepassingen

Een natuurlijke jasmijngeurstof, die in de parfumindustrie wordt toegepast, is jasmijnabsolue. Dit extract bevat - afhankelijk van herkomst en producent - 1 tot 4% indool. Aangezien voor een kilogram natuurlijk jasmijnabsolue enkele honderdduizenden jasmijnbloemen verzameld en verwerkt moeten worden, wordt indool (samen met andere stoffen) gebruikt om synthetische jasmijnolie te maken. Dit is veelal kostenbesparend.

  • (en) MSDS van indool
  • (en) Synthese van indool en indoolderivaten (overzicht)