Nenitzescu-indoolsynthese
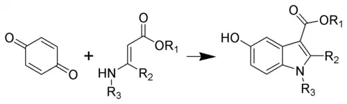
De Nenitzescu-indoolsynthese is een organische reactie, waarbij een 5-hydroxyindool wordt gevormd uit reactie van 1,4-benzochinon met een β-aminocrotonzure ester:[1]

Zie ook
Bronnen, noten en/of referenties
- ↑ (en) C.D. Nenitzescu (1929), Bull. Soc. Chim. Romania, 11, p. 37