Vilsmeier-Haack-reactie
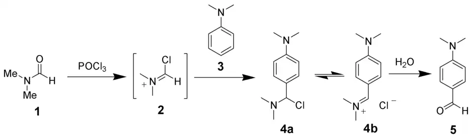
De Vilsmeier-Haack Reactie is een formyleringsreactie (een -CH=O groep wordt op het molecule gebonden) op elektronenrijke aromaten. Het formyleringsagens (ook bekend als het Vilsmeier-Haack reagens) wordt in situ gevormd uit een tertiair amide (vaak dimethylformamide) en fosforylchloride (of fosforoxychloride), waarbij een gesubstitueerd chloroiminiumion gevormd wordt. Deze species heeft een sterk gepositiveerd koolstofatoom (een van de resonantiecanoniken bevat een carbeniumion); het is dus een goed elektrofiel, dat gemakkelijk zal aangevallen worden door een (elektronenrijke) aromaat. Het intermediaire iminiumion hydrolyseert zeer vlot tot het aldehyde.
