Thymine
| Thymine | ||||
|---|---|---|---|---|
| Structuurformule en molecuulmodel | ||||
![]() | ||||
Structuurformule van thymine | ||||
| Algemeen | ||||
| Chemische formule | C5H6N2O2 | |||
| IUPAC-naam | 5-methylpyrimidine-2,4(1H,3H)-dion | |||
| Andere namen | 5-methyluracil | |||
| Molaire massa | 126,11334 g/mol | |||
| SMILES | CC1=CNC(=O)NC1=O | |||
| InChI | 1S/C5H6N2O2/c1-3-2-6-5(9)7-4(3)8/h2H,1H3,(H2,6,7,8,9) | |||
| CAS-nummer | 65-71-4 | |||
| EG-nummer | 200-616-1 | |||
| PubChem | 1135 | |||
| Wikidata | Q171973 | |||
| Vergelijkbaar met | adenine, cytosine, guanine, uracil | |||
| Fysische eigenschappen | ||||
| Aggregatietoestand | vast | |||
| Kleur | wit | |||
| Dichtheid | 1,46 g/cm³ | |||
| Smeltpunt | 316-317 °C | |||
| Kookpunt | (ontleedt) 335–337 °C | |||
| Oplosbaarheid in water | 4 g/L | |||
| Matig oplosbaar in | water | |||
| Tenzij anders vermeld zijn standaardomstandigheden gebruikt (298,15 K of 25 °C, 1 bar). | ||||
| ||||
Thymine is een van de nucleobasen in DNA. De stof komt voor als een wit kristallijn poeder.
Synthese
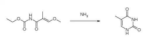
Thymine kan op verschillende manieren bereid worden. Een mogelijk manier is de cyclisatie van N-ethoxycarbonyl-3-methoxy-2-methylacrylamide in een ammoniakoplossing:

Synthese van thymine
Een alternatieve synthesemethode gaat uit van 3-methylappelzuur, die met ureum een decarboxylering en condensatiereactie in rokend zwavelzuur ondergaat:

Synthese van thymine
Structurele eigenschappen
In principe kan thymine tautomeriseren en ook in de enolvorm voorkomen, naast de meer gebruikelijke lactamvorm:
Tautomerisatie van thymine.
Biochemische functies
Samen met adenine, cytosine en guanine wordt deze base in een DNA-keten gebonden. Thymine kan twee waterstofbruggen vormen met adenine. Door deze twee bruggen is DNA met veel thymine en adenine naar verhouding minder stabiel dan DNA met veel cytosine en guanine, die drie waterstofbruggen vormen. Thymine komt als nucleobase vrijwel uitsluitend voor in het DNA. In het RNA komt het zeer zelden voor (in het t-RNA). Daar wordt het in de regel vervangen door uracil.
Thymine, cytosine en uracil worden pyrimidinen genoemd.
Thymine vormt thymidine, een desoxyribonucleoside, bij binding met desoxyribose. In tegenstelling tot de andere nucleobasen vormt het geen ribonucleoside.
Externe link
- (en) MSDS van thymine
