Pyryliumzout

In een pyryliumzout treedt een positief geladen organische, geconjugeerde 6-ring op waarin een van de koolstofatomen vervangen is door zuurstof. Voor de specifieke pyrylium-eigenschappen is de aard van het negatieve ion niet belangrijk. De verbinding is iso-elektronisch met benzeen. Het pyrylium is dan ook een aromatische verbinding. Doordat het zuurstofatoom zelf twee extra positieve ladingen draagt ten opzichte van koolstof, én er geen waterstof aan de zuurstof gebonden is, is de lading van het deeltje als geheel één positief: C5H5O+.[1]
Chemische eigenschappen
Door de dubbele binding tussen koolstof en zuurstof kan het zuurstofatoom ook als een oxoniumion worden beschreven. Door de deelname aan de aromatische ring is het pyryliumion minder reactief dan gewone oxoniumionen. Deze stabilisatie gaat niet zover dat pyrylium in neutraal water stabiel is. Pyryliumionen reageren met nucleofielen op de 2-,4- en 6-posities, wat in directe volgreacties aanleiding kan zijn tot ringopening.
Als aromaten worden pyryliumionen makkelijk gevormd uit eenvoudige uitgangsstoffen. Hun gevoeligheid voor nucleofielen maakt ze bovendien goede uitgangsstoffen voor andere, ook aromatische, verbindingen.
| reactant | product |
|---|---|
| ammoniak | pyridines |
| primair amine | pyridiniumzouten |
| hydroxylamine | pyridine-N-oxides |
| fosfine | fosfabenzeen |
| waterstofsulfide | thiapyryliumzouten |
| acetonitril | benzenen |
| nitromethaan | benzenen |

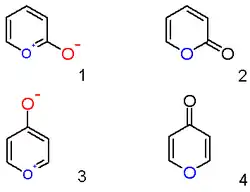
1: zwitterion
2: pyran-2-on
3 en 4: een pyran-4-on wordt gevormd
Pyryliumzouten met aromatische substituenten, bijvoorbeeld 2,4,6-trifenylpyryliumtetrafluorboraat, worden verkregen door twee mol acetofenon en 1 mol benzaldehyde met elkaar te laeten reageren in aanwezigheid van tetrafluorboorzuur en een oxiderend reagens (Dilthey-synthese). Voor pyryliumzouten met alkylsubstituenten zoals 2,4,6-trimethylpyryliumzouten is de Balaban-Nenitzescu-Praill-synthese geschikt. Uitgaande van tert-butanol en azijnzuuranhydride in aanwezigheid van tetrafluorboorzuur, perchloorzuur of trifluormethaansulfonzuur worden de zouten verkregen.[2] Met base geven de aromatisch gesubstitueerde pyryliumzouten (2,4,6-triphenylpyryliumzout) een stabiel 1,5-eendion, een "pseudobase". Het methylgesubstitueerde analogon, 2,4,6-trimethylpyryliumzout, vormt wel eerst de pseudobase, maar reageert vervolgens verder tot 3,5-dimethylphenol. In warm zwaar water D2O vindt uitwisseling van isotopen plaats bij 2,4,6-trimethylpyryliumzouten. De uitwisseling verloopt sneller op de 4-plaats dan op de 2- en de 6-plaats, waardoor regioselectief gedeutereerde verbindingen mogelijk worden.
Een pyryliumzoution met een geïoniseerde hydroxylgroep op de 2-positie is geen aromatisch zwitterion maar een neutraal, onverzadigd lacton, een pyran-2-on. Op gelijke wijze is ook een hydroxylion op de 4-positie niet mogelijk: er wordt een pyran-4-on gevormd. Zie de figuur rechts.
Chromenyliumion

Het benzo-gesubstitueerde pyryliumion wordt ook wel benzopyrilium of, volgens de IUPAC chromenyliumion genoemd.
Flavyliumion
In de biologie wordt het 2-fenylchromenyliumion aangeduid als flavyliumion. De anthocyanen, verbindingen die verantwoordelijk zijn voor een grote aantal bloemkleuren, zijn hiervan afgeleid.
Andere heteroaromatische verbindingen
- Vergelijkbare verbindingen met een aromatische 6-ring zijn: borabenzeen, benzeen, silabenzeen, germanabenzeen, stannabenzeen, pyridine, fosforine.
Externe link
- 2,6-Di-tert-butyl-4-methylpyrylium trifluoromethanesulfonate Organic Syntheses, Coll. Vol. 7, p. 144 (1990); Vol. 60, p. 34 (1981).
- (en) A.T. Balaban, W. Schroth and G. Fischer, “Pyrylium Salts. I. Synthesis”, in Advances in Heterocyclic Chemistry, (eds. A. R. Katritzky and A. J. Boulton), Academic Press, New York, 1969, vol. 10, pp. 241-326.
- (en) A.T. Balaban, A. Dinculescu, G.N. Dorofeenko, G.W. Fischer, A.V. Koblik, V.V. Mezheritskii and W. Schroth, “Pyrylium Salts. Syntheses, Reactions and Physical Properties”, Advances in Heterocyclic Chemistry, Suppl. Vol. 2 (A. R. Katritzky, Ed.), Academic Press, New York, 1982.
- (en) A.T. Balaban, “The pyrylium cation as a synthon in organic chemistry”, in “New Trends in Heterocyclic Chemistry”, (eds. R.B. Mitra, N.R. Ayyangar, V.N Gogte, R.M. Acheson and N. Cromwell), Elsevier, Amsterdam, 1979, pp. 79-111.
- (en) A.T. Balaban, “Pyrylium salts as useful synthons”, in “Organic Synthesis : Modern Trends” (Proc. 6th IUPAC Internat. Symp. on Organic Synthesis, Moscow), (ed. O. Chizov), Blackwell, Oxford, 1987, pp. 263-274.
- (en) T.S. Balaban and A.T. Balaban, “Pyrylium Salts”. In “Science of Synthesis; Houben-Weyl Methods of Molecular Transformations”, Georg Thieme Verlag, Stuttgart, 2003, Vol 14, pp. 11-200.
- (en) A.T. Balaban and A.J. Boulton, Org. Synth., Coll. Vol.5, 1112-1113 (1973): 2,4,6-Trimethyl-pyrylium tetrafluoroborate.
- (en) A.T. Balaban and A.J. Boulton, Org. Synth., Coll. Vol.5, 1114-1116 (1973): 2,4,6-Trimethyl-pyrylium trifluoromethanesulfonate.
- ↑ (en) Heterocyclic Chemistry, T. L. Gilchrist, ISBN 0-582-27843-0
- ↑ (en) Organic Syntheses Collective Volume 5