Stannabenzeen

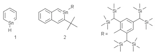
Stannabenzeen (C5H6Sn) is de stamverbinding van een groep aan benzeen verwante verbindingen, waarbij een van de koolstofatomen vervangen is door een tin-atoom. Stannabenzeen zelf is nog niet gemaakt, maar van de verwante naftaleen-verbindingen zijn er een aantal bereid en beschreven. Zo is 2-stannanaftaleen stabiel in een inerte atmosfeer tot 140 °C.[1]
De binding tussen tin en koolstof is in deze verbinding beschermd tegen mogelijke reactanten door 2 zeer volumineuze functionele groepen, de tert-butylgroep aan het koolstofatoom naast tin en de nog veel grotere groep aan tin zelf, namelijk de 2,4,6-tris[bis(trimethylsilyl)methyl]fenyl-groep (kortweg de TBT-groep). De bindingslengte van de twee koolstof-tin-bindingen bedragen 202,9 en 208,1 pm, hetgeen korter is dan de bekende enkelvoudige koolstof-tin-binding (214 pm).
De koolstof-koolstofbindingen vertonen weinig variatie in lengte: van 135,6 tot 144,3 pm, een indicatie voor het aromatische karakter van de verbinding.
Andere heteroaromatische verbindingen
Vergelijkbare verbindingen met een aromatische zesring zijn borabenzeen, benzeen, silabenzeen, germanabenzeen, pyridine en fosforine.
- ↑ (en) Y. Mizuhata, T. Sasamori, N. Takeda & N. Tokitoh (2006) - A Stable Neutral Stannaaromatic Compound: Synthesis, Structure and Complexation of a Kinetically Stabilized 2-Stannanaphthalene, J. Am. Chem. Soc., 128 (4), pp. 1050-1051