Pummerer-omlegging
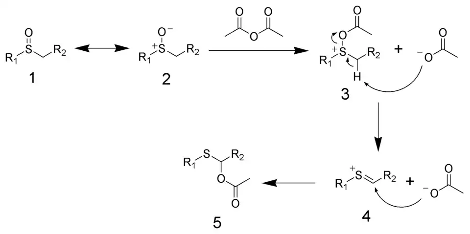
De Pummerer-omlegging of Pummerer-reactie is een organische reactie, waarbij een alkylsulfoxide reageert met een anhydride (azijnzuuranhydride, trifluorazijnzuuranhydride, trifluormethaansulfonzuuranhydride) of een silylchloride tot een α-acyloxysulfide:

De reactie werd ontdekt door Rudolf Pummerer (1882–1973).[1][2]
Reactiemechanisme
Het sulfoxide (1 en 2) ondergaat eerst een acylering tot de intermediaire verbinding 3. Deze verbinding ondergaat een eliminatie tot een thioniumion (4), dat door een nucleofiel wordt aangevallen. Het nucleofiel is bijvoorbeeld een acetaation. Als reactieproduct bekomt men een α-acyloxysulfide (5). Andere mogelijke nucleofielen zijn arenen, alkenen, amiden of fenolen.

Kenmerkend voor deze reactie is de verplaatsing van het zuurstofatoom van het zwavelatoom naar het naburige koolstofatoom. De reactie is in feite een interne redoxreactie: het zwavelatoom wordt gereduceerd en het koolstofatoom ernaast wordt geoxideerd. Pummerer stelde deze omlegging vast toen hij fenylsulfinylazijnzuur met minerale zuren verhitte, waarbij thiofenol en glyoxylzuur ontstonden.
- ↑ R. Pummerer. "Über Phenyl-sulfoxyessigsäure." Berichte der deutschen chemischen Gesellschaft (1909), vol. 42 nr. 2, pp. 2282-2291. DOI:10.1002/cber.190904202126
- ↑ R. Pummerer. "Über Phenyl-sulfoxyessigsäure (II)." Berichte der deutschen chemischen Gesellschaft (1910), vol. 43 nr. 2, pp. 1401-1412. DOI:10.1002/cber.19100430241