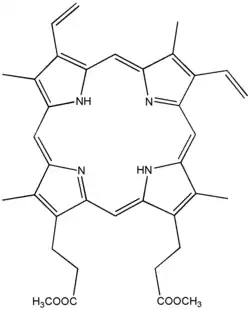
Porfyrine


Porfyrinen (in het Grieks πορφυρά, porphyrá, purperen verfstof) zijn organische verbindingen, meer specifiek biologische pigmenten, waarvan de moleculen uit vier pyrrool-ringen (tetrapyrrool) bestaan, die onderling door vier methine-groepen met elkaar zijn verbonden. Het is een heterocyclisch, ringvormig macromolecuul, waarbij de pyrroolringen op de α-plaats door de methinebruggen (=CH-) aan elkaar vastzitten. Porfyrinen hebben daarom een aromatischer karakter dan de chemisch verwante corrinen, chlorinen (2,3-dihydroporfyrine) en bacteriochlorinen (2,3,12,13-tetrahydroporfyrine). Ook is het molecuul, door de extensieve verbindingen, chromatisch. De eenvoudigste soort porfyrine is porfine.
Porfyrinen komen in de natuur voor in chlorofyl (bladgroen), en in heemhoudende enzymen, de cytochromen. Porfyrinen spelen daarnaast een rol in de menselijke stofwisseling. Enkele aandoeningen, bijvoorbeeld porfyrie, berusten op erfelijke storingen van deze stofwisseling.
Typen van porfyrinen en verwante moleculen
Een porfyrine-molecuul bindt zich gemakkelijk aan een metaalatoom, dat zich nestelt in de centrale holte van het porfyrine-molecuul. Bekend zijn ijzer- (heem), magnesium- (chlorofyl), zink-, koper-, nikkel- en kobalt- houdende porfyrinen. Een porfyrine zonder een dergelijk metaal in de centrale holte wordt een free base genoemd.
Sommige ijzerhoudende porfyrinen zijn hemen. Het bekendste voorbeeld van een heem bevattend eiwitmolecuul is hemoglobine, de zuurstofdrager in bloed. Sommige schelpdieren hebben groengekleurd bloed, doordat er gebonden koper in plaats van ijzer in hun porfyrine zit.
Als een van de vier pyrrolen gereduceerd wordt tot pyrroline ontstaat een chlorine, dat als ringstructuur in chlorofyl voorkomt. Als twee van de vier pyrrolen worden gereduceerd, dan ontstaat, afhankelijk van de plaatsen van de gereduceerde pyrrolen, óf een bacteriochlorine (gevonden in sommige fotosynthetiserende bacteriën) óf een isobacteriochlorine.
Praktische toepassingen van porfyrinen zijn
- meso-tetraphenylporphyrine iron-(III) chloride (ClFeTPP), dat als een katalysator in de organische chemie wordt gebruikt.
- Op porfyrine gebaseerde stoffen worden ook gebruikt voor moleculaire dataopslag, dat nog in de ontwikkelingsfase zit.
- In de inkt van ballpoints zit een van een porfyrine afgeleide verbinding (derivaat), bestaande uit aan de pyrroolringen gebonden benzeenringen.
- Fotodynamische therapie is een behandelingswijze binnen de geneeskunde, die gebaseerd is op overgevoeligheid voor licht veroorzaakt door een kunstmatig te veel van protoporfyrine IX.

Porfyrine biosynthese
Dit is een schematische weergave van de porfyrinebiosynthese, met verwijzing naar het EG-nummer en de OMIM database. Indien er een afwijking is in de porfyrinebiosynthese door verminderde werking van een specifiek enzym dat betrokken is bij deze biosynthese kan dit leiden tot een aanval van porfyrie. In onderstaande tabel staan alle stappen in de biosynthese vermeld met bijbehorende enzymen alsmede de specifieke aandoeningen die kunnen optreden.
| Enzym | substraat | Product | Chromosoom | EC | OMIM | porfyrie |
|---|---|---|---|---|---|---|
| ALA synthase | Glycine, succinyl CoA | D-Aminolevulinezuur | 3p21.1 | 2.3.1.37 | 125290 | Sideroblastische Anemie |
| ALA dehydratase | D-Aminolevulinicezuur | Porphobilinogen | 9q34 | 4.2.1.24 | 125270 | acute hepatitis |
| PBG deaminase | Porphobilinogen | Hydroxymethyl bilane | 11q23.3 | 2.5.1.61 | 176000 | porphyria acuta intermittens |
| Uroporphyrinogen III synthase | Hydroxymethyl bilane | Uroporphyrinogen III | 10q25.2-q26.3 | 4.2.1.75 | 606938 | congenitale erytropoëtische porfyrie |
| Uroporphyrinogen III decarboxylase | Uroporphyrinogen III | Coproporphyrinogen III | 1q34 | 4.1.1.37 | 176100 | Porphyria cutanea tarda |
| Coproporphyrinogen III oxidase | Coproporphyrinogen III | Protoporphyrinogen IX | 3q12 | 1.3.3.3 | 121300 | Hereditaire coproporfyrie |
| Protoporphyrinogen oxidase | Protoporphyrinogen IX | Protoporphyrin IX | 1q22 | 1.3.3.4 | 600923 | variabele porfyrie |
| Ferrochelatase | Protoporphyrin IX | Heem | 18q21.3 | 4.99.1.1 | 177000 | Erytropoëtische protoporfyrie |

De eerste stap in de synthese van heem is de vorming van het D-Aminolevulinezuur uit glycine en succinyl-CoA, dat in de citroenzuurcyclus gevormd wordt. Twee dALA-moleculen worden gebonden tot porfobilinogeen (PBG), dat de pyrroolring bevat. Vier PBGs vormen door deaminatie hydroxymethylbilaan (HMB) het circulaire tetrapyrrool uroporfyrinogeen III. Dit molecuul ondergaat een aantal veranderingen, waarvan door de verschillende soorten verschillende tussenproducten worden gemaakt waarna vervolgens coproporfyrinogeen wordt gemaakt. Dit wordt omgezet via protoporfyrinogeen in protoporfyrine. Als laatste stap vindt de inbouw van ijzer plaats en dit leidt tot heem.