Methine-groep
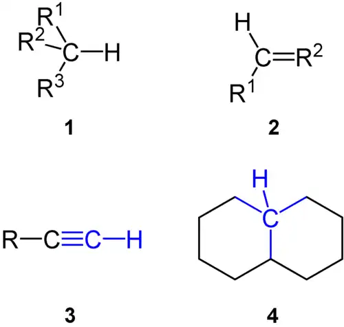
De methine-groep (CH) is een functionele groep en bestaat uit een koolstofatoom waaraan één waterstofatoom gebonden is. De methine-groep bevat een waterstofatoom minder dan de methyleengroep. De vrije valenties worden door drie verdere substituenten of anders gezegd door meervoudige bindingen verzadigd.[1]. Het koolstofatoom van de methine-groep is een tertiair koolstofatoom. De substituenten kunnen principieel zowel organisch als ook anorganisch zijn. Onder het begrip methine-groep vallen methantriyl- (R3CH, 1), de methanyliden- (2) de methylidin- (3) en de metheno-groep (4). Ook de koolstofatomen van aromaten, indien ze geen substituenten bevatten, kunnen als methine-groepen gezien worden ondanks dat er geen plaatselijke dubbele binding bestaat.

Tot de eenvoudigste verbindingen met een methine-groep behoren ethyn (C2H2), propeen (CH3-CH=CH2) en isobutaan (CH3-CH(CH3)-CH3). Verder komt de groep voor in de verfstof polymethine. Een methylidine-groep gebonden aan een stikstofatoom komt bijvoorbeeld voor in (methylidine-λ5-azanyl)cyclopropaan[2].
Zie ook
- Methylgroep (CH3)
- Methyleengroep (CH2)