Organokobaltchemie
In de organokobaltchemie wordt de chemie bestudeerd van verbindingen waarin een directe binding optreedt tussen koolstof en kobalt. Aangezien kobalt een metaal is, is de organokobaltchemie een subdiscipline van de organometaalchemie. Organokobaltverbindingen spelen een belangrijke rol in een aantal chemische reacties. Het biomolecuul vitamine B12, of zoals het in cellen voorkomt coenzym B12, was zelfs de eerste bekende organokobaltverbinding met een directe koolstof-kobaltbinding. Veel van de organokobaltverbindingen zijn onderzocht op katalytische eigenschappen.[1] Een vroeg voorbeeld van organokobaltchemie is de carbonylering van azobenzeen met dikobaltoctacarbonyl in 1956:[2]

Eigenschappen
Organokobaltverbindingen hebben een aantal gemeenschappelijke kenmerken:
- met alkynen en diënen worden makkelijk complexen gevormd.
- kobalt heeft een grote affiniteit voor koolstofmonoxide. Hoewel dit ook een molecuul met een feitelijke drievoudige binding is, vindt de binding met kobalt via koolstof plaats, in plaats van via een π-complex.
- in veel verbindingen neemt kobalt het centrum in van een octaëder, waarbij zuurstof en stikstof op de basishoekpunten voorkomen en kobalt-koolstofbindingen de axiale posities bezetten, zoals in vitamine B12.
Complexen met alkynen
Kobalt vormt complexen met alkynen en cyanoverbindingen. Deze eigenschap wordt synthetisch uitgebuit door dikobaltoctacarbonyl in te zetten als beschermende groep voor alkynen. In de Nicholas-reactie wordt de alkyngroep beschermd en tegelijkertijd wordt het koolstofatoom op de α-positie geactiveerd voor een nucleofiele substitutie.
Ringsluitingsreacties
Kobaltverbindingen reageren met dialkynen en diënen tot cyclische intermediairen in een cyclometalatie. Andere alkynen, alkenen, nitrilen of koolstofmonoxide kunnen vervolgens inschuiven in de koolstof-kobaltbinding. Een Voorbeeld van reacties die op dit concept gebaseerd zijn is de Pauson-Khand-reactie (CO invoeging) en alkyntrimerisatie. Cyclopentadienylkobaltdicarbonyl is in dit verband een veelgebruikte verbinding.
Carbonylering
Organokobaltverbindingen worden toegepast als katalysator bij carbonyleringen, meer specifiek bij de hydroformylering: de vorming van aldehyden uit een alkeen, formaldehyde en waterstof. HCo(CO)4 is voor deze reacties een bekende katalysator die belangrijk is geweest in de industriële productie van butanal uit propeen. De laatste jaren zijn naast kobaltverbindingen ook rodiumverbindingen als H[Rh(CO)(PPh3)4] belangrijke katalysatoren voor deze reactie geworden.
Als in de reactie waterstof door water of een alcohol vervangen wordt ontstaat een carbonzuur of een ester. Een voorbeeld van deze toepassing is de omzetting van 1,3-butadieen in adipinezuur.
Kobaltkatalysatoren zijn ook belangrijk (samen met die op ijzer gebaseerd zijn) in het Fischer-Tropsch-proces waarbij synthesegas wordt omgezet in koolwaterstoffen:[3]
- M + CO → M-CO (M = Co, Fe)
- M-CO + H2 → M-CH3
- M-CH3 + CO → OC-M-CH3
- OC-M-CH3 → M-(CO)-CH3
- M-(CO)-CH3 + H2 → M-CH2CH3
Vitamine B12-achtige verbindingen

In vitamine B12 heeft kobalt een octaëdrische omringing met een kobalt-koolstofbinding in een van de axiale posities. In methylcobalamine is de coënzym B12 aanwezige koolstofligand vervangen door een methylgroep.
Sandwichverbindingen

In de organokobaltchemie zijn een aantal sandwichverbindingen bekend. Kobaltoceen is een 19-elektron metalloceen. Vervanging van de cyclopentadieenligand door hexamethylbenzeen leidt via CoCp(C6(Me)6 (20 elektronen) naar Co(C6(Me)6)2 met 21 elektronen in de valentieschillen. Verwant aan de sandwichverbindingen is de kobalthoudende Kläui-ligand, waarmee andere metalen gebonden kunnen worden.
Kobalt in additiepolymerisatie
Van het feit dat kobalt(III)koolstofbinding tamelijk zwak is, wordt gebruikgemaakt in de additiepolymerisatie onder invloed van kobalt, vanuit het Engels (cobalt-mediated radical polymerization) vaak afgekort tot CMRP. In tegenstelling tot de normale (radicaal) additiepolymerisatie, waarin nauwelijks controle op de reactie mogelijk is, verloopt de reactie onder invloed van kobalt relatief traag, en daardoor ook meer gecontroleerd.[4] Initiators die een kobalt-koolstofbinding bevatten worden geactiveerd door warmte of licht, waarbij een koolstofradicaal en een kobalt(II)deeltje ontstaan. Het koolstofradicaal start de normale radicaal-additiepolymerisatie, met een alkeen. De speciale rol van kobalt(II) als het reversibel aan het radicaal-uiteinde van het groeiende polymeer bindt. Hierdoor wordt het aantal vrije radicalen, en ook de onbedoelde terminatie (doordat twee groeiende ketens met elkaar reageren), tot een minimum beperkt. Het kobaltreagens wordt aangeduid met de term stabiel radicaal. De tijdelijk geblokkeerde groeipositie van het polymeer wordt aangeduid als slapend radicaal. CMRP kan beschouwd worden als een opeenvolgende serie van carbometalatiereacties van alkeenmonomeren. De reactietemperatuur is meestal laag, tussen de 0 en 60 °C.
Als het monomeer goed toegankelijke (voor radicaalreacties) waterstofatomen bevat kan chain-transfer optreden. Dit verschijnsel treedt niet op bij acrylaten en vinylesters als vinylacetaat. Het principe van deze reacties is, onafhankelijk van elkaar, in 1994 door twee groepen ontdekt.[5] De beschreven katalysatoren zijn vaak derivaten van kobaloximes, kobaltporfyrines of Co(acac)2, doorgaans toegepast in combinatie met andere radicaal-initiators.
De CMRP kan ook via andere reactiemechanismen verlopen, zoals katalytische chain-transfer:
Cyclotrimerisatie
Kobaltverbindingen zijn in staat als katalysator ter werken in de cylcotrimerisatie van alkynen. In het geval van fenylacetyleen is een eenvoudig mengsel van kobalt(II)bromide, zink en zinkjodide voldoende om de reactie te katalyseren. Er wordt een opbrengst gehaald van 99% en 97% regioselectiviteit in het voordeel van het 1,2,4-isomeer 1.[6]

Reactiemechanisme
Het reactiemechanisme van de trimerisatie zoals het hieronder is weergegeven dateert uit 2007. Kobaltoceen is de katalysator. Het mechanisme is in overeenstemming met zowel in silico als experimentele gegevens[7]

Als ligand L in de 18-elektronenverbinding CpCoL2 (A) kunnen diverse in de complexometrie bekende liganden als trifenylfosfine of koolstofmonoxide fungeren. In twee stappen worden deze liganden tegen alkyn uitgewisseld, zodat via B verbinding C ontstaat. Deze verbinding is de eerste in de katalytische cyclus, waarin via oxidatieve koppeling het kobaltacyclopentadieen, een metallacyclische verbinding D ontstaat. De ringvorming leidt tot een singlet situatie, die voor verdere reactie eerst tot een triplet moet vervallen. Vervolgens addeert de ligand terug, waarbij E ontstaat, dat vervolgens in een Diels-Alder-achtige reactie met een derde molecuul alkyn tot F wordt omgezet. In de laatste stap wordt onder opnemen van een molecuul ligand het gevormde benzeenderivaat vrijgemaakt. Het ook gevormde CpCoL H doorloopt een nieuwe katalytische cyclus.
Als de ligand een minder goede sigmadonor is zoals etheen of THF (als oplosmiddel) of wanneer het alkyn elektronenarm is (butyndizuur) treedt een andere katalytische cyclus op, waarbij aan D een ander alkyn addeert. In het vervolg van de cyclus (niet weergegeven) wordt een CpCo(η4areencomplex) en vervolgens een CpCo(η6areen) sandwichverbinding gevormd voordat de reactie naar het benzeen en CpCo verloopt.
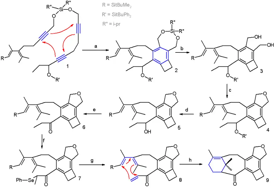
Voorbeeld
In toepassing van deze synthesestrategie is de synthese van het ringsysteem van taxol, waarbij een [2+2+2] trimerisatie en een [4+2] cycloadditie gecombineerd worden.[8] De reactieserie start met de trimerisatie, onder bestraling uitgevoerd in xyleen, met als katalysator het kobaltoceen CpCo(CO)2 (een van de Cp-eenheden is vervangen door twee koolstofmonoxide-liganden). De twee voornaamste delen van het molecuul zijn tijdelijk aan elkaar gekoppeld via een siliciumether waardoor de reactie intramoleculair wordt. Hierdoor verloopt de reactie sneller en met veel minder kans op bijproducten.

Met Dikobaltoctacarbonyl kan een trimerisatie uitgevoerd worden naar hexakis(4-ferrocenylfenyl)benzeen.[9] In een redoxreactie verliezen de zes feroceengroepen elk een elektron bij dezelfde potentiaal. Het feit dat er slechts één redoxpotentiaal gevonden wordt geeft aan dat de zes ferroceengroepen geen invloed op elkaar uitoefenen.

Navigatie
Navigatie Koolstof-elementbinding
- ↑ Iwao Omae. (2007). Three characteristic reactions of organocobalt compounds in organic synthesis Applied Organometallic Chemistry. 21 (5): pag.: 318 DOI:10.1002/aoc.1213
- ↑ Shunsuke Murahashi, Shigeki Horiie. (1956). GEEN TITEL OPGEGEVEN J. Amer. Chem. Soc.. 78 (18): pag.: 4816 DOI:10.1021/ja01599a079
- ↑ F.A. Carey R.J. Sundberg. Advanced Organic Chemistry (2nd ed.) –
- ↑ Debuigne Antoine, Rinaldo Poli, Christine Jérôme, Robert Jérôme, Christophe Detrembleur. (2009). Overview of cobalt-mediated radical polymerization: Roots, state of the art and future prospects Progress in Polymer Science. 34 (3): pag.: 211–239 DOI:10.1016/j.progpolymsci.2008.11.003
- ↑ Zie:
- Bradford B. Wayland, George Poszmik, Shakti L. Mukerjee, Michael Fryd. (1994). Living Radical Polymerization of Acrylates by Organocobalt Porphyrin Complexes J. Amer. Chem. Soc.. 116 (17): pag.: 7943 DOI:10.1021/ja00096a080
- L.D. Arvanitopoulos, M.P. Greuel, H.J. Harwood. (1994). "Living" free radical polymerization using alkyl cobaloximes as photoinitiators The American Chemical Society. 208 pag.: 402
- ↑ Gerhard Hilt , Thomas Vogler, Wilfried Hess, Fabrizio Galbiati. (2005). A simple cobalt catalyst system for the efficient and regioselective cyclotrimerisation of alkynes Chemical Communications. 2005 (11): pag.: 1474–1475 DOI:10.1039/b417832g
- ↑ Nicolas Agenet, Vincent Gandon, K. Peter C. Vollhardt, Max Malacria, Corinne Aubert. (2007). Cobalt-Catalyzed Cyclotrimerization of Alkynes: The Answer to the Puzzle of Parallel Reaction Pathways J. Amer. Chem. Soc.. 129 (28): pag.: 8860–8871 DOI:10.1021/ja072208r
- ↑ G. Chouraqui, M. Petit, P. Phansavath, C. Aubert, M. Malacria. (2006). From an Acyclic, Polyunsaturated Precursor to the Polycyclic Taxane Ring System: The [4+2]/[2+2+2] and [2+2+2]/[4+2] Cyclization Strategies European Journal of Organic Chemistry. 2006 (6): pag.: 1413–1421 DOI:10.1002/ejoc.200500762
- ↑ V. J. Chebny, D. Dhar, S. V. Lindeman, R. Rathore. (2006). Simultaneous Ejection of Six Electrons at a Constant Potential by Hexakis(4-ferrocenylphenyl)benzene Org. Lett.. 8 (22): pag.: 5041–5044 DOI:10.1021/ol061904d


