Nucleofiele aromatische substitutie
Een nucleofiele aromatische substitutie of SNAr-reactie is een veelgebruikte substitutiereactie in de organische chemie, waarbij een nucleofiel een goede leaving group (zoals bromide of jodide) op een aromatische verbinding vervangt.

Typen substitutiereacties
Er bestaan 6 verschillende van dergelijke substitutiereacties:
- aromatische additie-eliminatiereactie
- aromatische SN1-reactie met diazoniumzouten
- reactie via benzyn
- radicalair-nucleofiele aromatische substitutie
- ANRORC-mechanisme
- plaatsvervangende nucleofiele substitutie
Aromatische additie-eliminatiereactie
De aromatische additie-eliminatiereactie is vrijwel de belangrijkste nucleofiele aromatische substitutie. Hierbij wordt een elektronenzuigende groep (zoals een nitrogroep) gebruikt om de aromatische ring elektronenarmer en zo vatbaarder te maken voor een nucleofiele aanval. Een voorbeeldreactie is de nucleofiele aromatische substitutie van 2,4-dinitrochloorbenzeen in een basische oplossing tot 2,4-dinitrofenol:

De reactie start met de aanval van het nucleofiele hydroxide-ion op het gepolariseerde koolstofatoom in de benzeenring en addeert aan de ring (1). Hierdoor ontstaat een zogenaamd sigma-complex (2), dat door resonantie wordt gestabiliseerd. Dit sigma-complex wordt ook wel Meisenheimercomplex genoemd en dit is niet-aromatisch. Aangezien een nitrogroep de activator van de aromatische ring en eveneens een ortho-para-richter is, kan er een carbanion gevormd worden. Wanneer dit carbanion aan de ortho-nitrogroep ontstaat, zal het niet-gebonden elektronenpaar van dit carbanion worden opgenomen in de aromatische ring. Via een elektronenverschuiving wordt het chloride (dat de rol van leaving group op zich neemt) afgesplitst (3). Hierbij wordt het dinitrofenol 4 gevormd, dat in basisch milieu gedeprotoneerd wordt tot het dinitrofenolaat 5.
Tijdens de reactie wordt enkel maar een klein gedeelte van de chloriden afsplitst. De meeste intermediair reageren terug tot de precursor, zodat een chemisch evenwicht ontstaat dat naar links is verschoven.
Aromatische SN1-reactie
De aromatische SN1-reactie verloopt gelijkaardig als die van een alifatische SN1-reactie, namelijk met de vorming van een carbokation als intermediair:

De reactie gaat uit van een aromatisch diazoniumzout. Tijdens de eerste reactiestap wordt stikstofgas afgesplitst waardoor een intermediair aryl-carbokation ontstaat. Dit carbokation is bijgevolg erg gevoelig voor een nucleofiele aanval, waardoor de laatste reactiestap zeer snel verloopt.
Benzynmechanisme
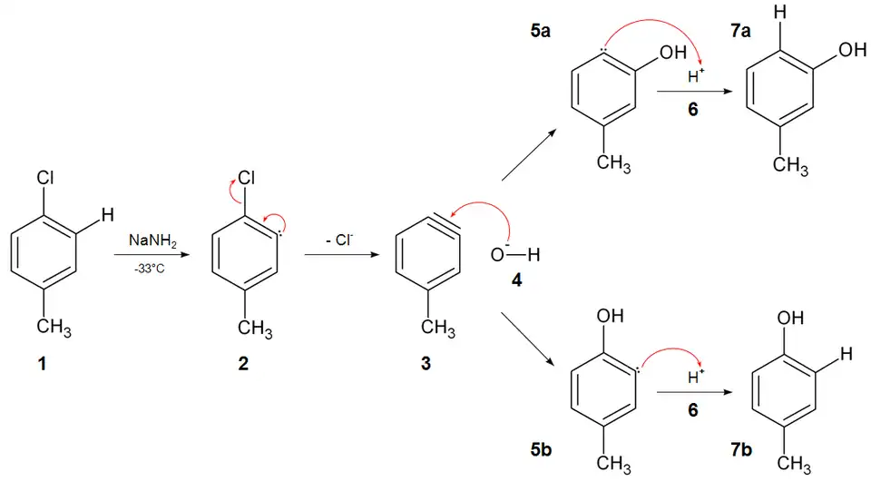
Een bijzondere vorm van de nucleofiele aromatische substitutie verloopt via een zeer reactief intermediair: benzyn. Dit ontstaat door een gesubstitueerde benzeenring (met een goede leaving group, zoals chloride) te laten reageren met een zeer sterke base: natriumamide in vloeibare ammoniak bij -33°C. Hierdoor ontstaat een carbanion (2) dat snel reageert door het chloride af te splitsen en het elektronenpaar op het carbanion in de aromatische ring te brengen. Het hierbij ontstane benzyn (3) is zeer reactief en gevoelig voor nucleofielen. Toevoeging van natriumhydroxide (4) zal leiden tot een nucleofiele additie van het hydroxide-ion aan het benzyn, waardoor een fenol-carbanion (5a en 5b) ontstaat. Door additie van een proton (6) zal een fenol (7a en 7b) worden gevormd.
Een voorbeeldreactie is de aromatische substitutie van 4-chloortolueen (1) tot 3-methylfenol (7a) en 4-methylfenol (7b). Er treedt bij het bezynmechanisme dus een vorm van isomerisatie op: het hydroxide kan op beide koolstofatomen in het bezyn (3) aanvallen, waardoor er twee mogelijke structuurisomeren ontstaan.

Radicalair-nucleofiele aromatische substitutie
De radicalair-nucleofiele aromatische substitutie of het SRN1-mechanisme vindt plaats middels de vorming van een radicaal als intermediair. Een arylhalogenide accepteert een elektron van een radicaalinitiator, waardoor een aromatisch radicalair ion wordt gevormd. Dit reageert tot een aroamtische radicaal, waarbij het halogenide wordt afgesplitst, waardoor het nucleofiel kan aanvallen en adderen.
ANRORC-mechanisme
Het ANRORC-mechanisme is een bijzonder reactiemechanisme waarbij een ringopening plaatsgrijpt. ANRORC staat voor het Engelse Addition of the Nucleophile, Ring Opening, and Ring Closure. Kortweg komt het erop neer dat een nucleofiel addeert aan een aromaat, meestal een gesubstitueerd pyrimidine (1) of pyridine, die vervolgens in reactie met kaliumamide wordt gebracht. Daardoor ontstaat een gespannen benzynring (A). De overtollige negatieve lading wordt gelokaliseerd op een stikstofatoom in de ring (B). Hierdoor opent de ring en kan de leaving group afgesplitst worden. Hierna vindt een ringsluiting plaats (2), waarbij het nucleofiel de plaats van de leaving group heeft ingenomen.

Plaatsvervangende nucleofiele substitutie
Bij een plaatsvervangende nucleofiele substitutie wordt een waterstofatoom vervangen en geen substituent aan de aromatische ring, zoals bij de meeste andere soorten nucleofiele substituties. Dergelijke reactie grijpt plaats wanneer een sterk elektronenzuigende groep op een aromaat gesubstitueerd is. Een typevoorbeeld is nitrobenzeen: het koolstofatoom naast de nitrogroep wordt partieel positief geladen en het waterstofatoom is zeer zwak gebonden, omdat de pi-elektronen naar de nitrogroep worden gezogen. Hierdoor kan een carbanion adderen aan dit partieel positief geladen koolstofatoom. Hierbij wordt het waterstofatoom afgesplitst en ontstaat een dubbele binding naar het geaddeerde koolstofatoom. Dit kan desgewenst nog geprotoneerd worden.
Toepassingen
De nucleofiele aromatische substitutie wordt onder meer bij volgende organische reacties toegepast:
Een nucleofiele aromatische substitutie is eigenlijk niet enkel beperkt tot zuivere aromatische koolwaterstoffen. Ook heterocyclische aromaten reageren volgens dit reactiepatroon. Zo zijn ortho-para-gesubstitueerde pyridines nog reactiever dan gewone gesubstitueerde aromatische koolwaterstoffen, omdat de negatieve lading dan voornamelijk gelokaliseerd is op het stikstofatoom. Een voorbeeldreactie is de Tsjitsjibabin-reactie, waarbij pyridine reageert met een alkalimetaal-amide (natriumamide of kaliumamide) tot 2-aminopyridine.
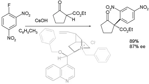
Asymmetrische nucleofiele aromatische substitutie
Prochirale nucleofielen, zoals 1,3-dicarbonylverbindingen, reageren via een asymmetrische nucleofiele aromatische substitutie. Onderstaande reactie werd gepubliceerd in 2005. Het fluoratoom is de leaving group.
