Martinet-dioxindoolsynthese
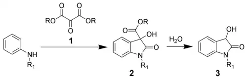
De Martinet-dioxindoolsynthese is een organische reactie, waarbij een dioxindool (3), formeel een carbonyl- en alcoholderivaat van indool, wordt gevormd door reactie van een anilinederivaat met een ester van ketomalonzuur (1):[1][2]

Door verhitting van het N-gesubstitueerd aniline met de ester van ketomalonzuur (1) ontstaat een esterderivaat van dioxindool (2). De ester wordt vervolgens gehydrolyseerd door water en gedecarboxyleerd tot het dioxindool 3.
Zie ook
Bronnen, noten en/of referenties
- ↑ (fr) A. Guyot & J. Martinet (1913), Compt. Rend., 156, p. 1625
- ↑ (en) W.C. Sumpter (1945) - The Chemistry of Oxindole, Chem. Rev., 37 (3), pp. 443-479. Gearchiveerd op 21 februari 2023.