Kaempferol
| Kaempferol | ||||
|---|---|---|---|---|
| Structuurformule en molecuulmodel | ||||
![]() | ||||
Structuurformule van kaempferol | ||||
![]() | ||||
| Algemeen | ||||
| Chemische formule | C15H10O6 | |||
| IUPAC-naam | 3,5,7-Trihydroxy-2-(4-hydroxyphenyl)-4H-chromen-4-one | |||
| Andere namen | Kaempherol; Robigenin; Pelargidenolon; Rhamnolutein; Rhamnolutin; Populnetin; Trifolitin; Kempferol; Swartziol | |||
| Molaire massa | 286,24 g/mol | |||
| SMILES | C1=CC(=CC=C1C2=C(C(=O)C3=C(C=C(C=C3O2)O)O)O)O | |||
| InChI | IYRMWMYZSQPJKC-UHFFFAOYSA-N | |||
| CAS-nummer | 520-18-3 | |||
| PubChem | 5280863 | |||
| Wikidata | Q393336 | |||
| Waarschuwingen en veiligheidsmaatregelen | ||||
| ||||
| EG-Index-nummer | 208-287-6 | |||
| Fysische eigenschappen | ||||
| Aggregatietoestand | poeder | |||
| Kleur | geel | |||
| Dichtheid | 1,688 g/cm³ | |||
| Smeltpunt | 276–278 °C | |||
| Goed oplosbaar in | water | |||
| Tenzij anders vermeld zijn standaardomstandigheden gebruikt (298,15 K of 25 °C, 1 bar). | ||||
| ||||
Kaempferol (3,4′,5,7-tetrahydroxyflavone) is een uit planten afkomstige flavonol, behorende tot de klasse flavonoïden.
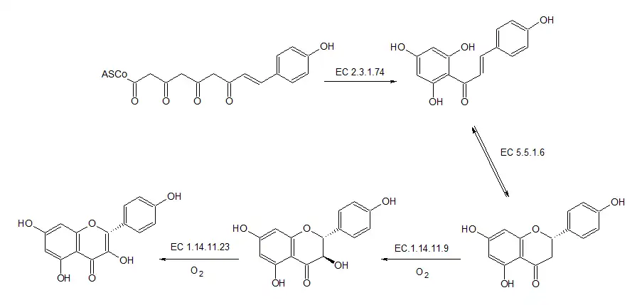
Veel kaempferolglycosiden, bijvoorbeeld kaempferitrine en astragaline, kunnen uit planten worden geïsoleerd. De biosynthese vindt plaats vanuit fenylalanine, waaruit 4-coumaryl-CoA wordt gevormd..[1] Vervolgens wordt de naringenine chalcon (tetrahydroxy chalcon) gevormd door chalconsynthase met drie malonyl-CoA. Naringenine wordt hieruit gevormd en gehydroxyleerd tot dihydrokaempferol, waaruit kaempferol wordt gevormd door dehydrogenering.[1]

Kaempferol is een fyto-oestrogeen en wordt onderzocht in verband met de apoptose van kankercellen. Er zijn aanwijzingen dat de oestrogene werking van kaempferol een positief effect zou kunnen hebben op postmenopauzale osteoporose.[2] Bovendien heeft kaempferol antimicrobiële, ontstekingsremmende, cardio- en neuroprotectieve, pijnstillende en anxiolytische effecten.
Voorkomen
Kaempferol komt voor bij Pteropsida, coniferen en bedektzadigen. Bij Pteropsida en coniferen komt kaempferol bij diverse families voor. Kaempferol komt zowel voor bij tweezaadlobbigen en eenzaadlobbigen van de bedektzadigen.[1] De totale gemiddelde inname van flavonolen en flavonen in een normaal dieet wordt geschat op 23 mg / dag, waaraan kaempferol ongeveer 17% bijdraagt.[3]
Veel voorkomende voedingsmiddelen die kaempferol bevatten zijn: appels,[4] druiven,[4] tomaten,[4] groene thee,[4] aardappelen ,[3] uien,[1] broccoli,[1] spruitjes,[1] pompoen,[1] komkommers,[1] sla,[1] sperziebonen,[1] perziken,[1] bramen,[1] frambozen,[1] en spinazie.[1] Planten waarvan bekend is dat ze kaempferol bevatten, zijn: Aloë vera ,[1] tindola,[1] Cuscuta chinensis ,[5] Euphorbia pekinensis ,[1] sojaboon,[1] sint-janskruid ,[1] grove den,[6] peperwortelboom,[7] rozemarijn,[1] gewone vlier,[1] en Toona sinensis,[1] en Ilex .[1]
| Voedsel | Kaempferol
(mg/100g)[8] |
|---|---|
| kappertjes, rauw | 259 |
| saffraan | 205 |
| kappertjes, ingeblikt | 131 |
| rucola, rauw | 59 |
| boerenkool, rauw | 47 |
| sareptamosterd, bladeren, rauw | 38 |
| gember | 34 |
| gewone boon, rauw | 26 |
| chinese kool, rauw | 23 |
| dille, vers | 13 |
| tuinkers, rauw | 13[8] |
| bieslook, rauw | 10[8] |
| zuring, rauw | 10 |
| andijvie, rauw | 10 |
| Galicische kool, rauw | 9 |
| broccoli, rauw | 8 |
| venkel bladeren | 7 |
| Chinese boksdoorn, Gewone boksdoorn, gedroogd | 6 |
| peperwortelboom bladeren, rauw | 6 |
| snijbiet, rauw | 4 |
- 1 2 3 4 5 6 7 8 9 10 11 12 13 14 15 16 17 18 19 20 21 22 23 (April 2011). A review on the dietary flavonoid kaempferol. Mini Reviews in Medicinal Chemistry 11 (4): 298–344. PMID 21428901. DOI: 10.2174/138955711795305335.
- ↑ A. J. Guo, R. C. Choi, K. Y. Zheng, V. P. Chen, T. T. Dong, Z. T. Wang, G. Vollmer, D. T. Lau, K. W. Tsim: Kaempferol as a flavonoid induces osteoblastic differentiation via estrogen receptor signaling. In: Chinese Medicine. Volume 7, 2012, S. 10, doi:10.1186/1749-8546-7-10. PMID 22546174. PMC 3350445.
- 1 2 (May 2013). Health-promoting components of fruits and vegetables in the diet. Advances in Nutrition 4 (3): 384S–92S. PMID 23674808. PMC 3650511. DOI: 10.3945/an.112.003517.
- 1 2 3 4 (December 2013). Anti-cancer Effect and Underlying Mechanism(s) of Kaempferol, a Phytoestrogen, on the Regulation of Apoptosis in Diverse Cancer Cell Models. Toxicological Research 29 (4): 229–34. PMID 24578792. PMC 3936174. DOI: 10.5487/TR.2013.29.4.229.
- ↑ (November 2014). Cuscuta chinensis Lam.: A systematic review on ethnopharmacology, phytochemistry and pharmacology of an important traditional herbal medicine. Journal of Ethnopharmacology 157 (C): 292–308. PMID 25281912. DOI: 10.1016/j.jep.2014.09.032.
- ↑ (November 2014). Pine bark and green tea concentrated extracts: antioxidant activity and comprehensive characterization of bioactive compounds by HPLC-ESI-QTOF-MS. International Journal of Molecular Sciences 15 (11): 20382–402. PMID 25383680. PMC 4264173. DOI: 10.3390/ijms151120382.
- ↑ (January 2007). Moringa oleifera: a food plant with multiple medicinal uses. Phytotherapy Research 21 (1): 17–25. PMID 17089328. DOI: 10.1002/ptr.2023.
- 1 2 3 USDA Database for the Flavonoid Content of Selected Foods, Release 3. U.S. Department of Agriculture (2011).


