Gestuurde ortho-metallatie
Gestuurde ortho-metallatie, vaak vanuit het Engels afgekort tot DoM (Directed ortho Metalation) is een speciaal geval van de elektrofiele aromatische substitutie waarbij het elektrofiel uitsluitend op de orthoplaats ten opzichte van een metallatie sturende groep (Engels: direct metalation group of DMG) terechtkomt. Als intermediair treedt een aryllithiumverbinding op[1]. De DMG complexeert via een heteroatoom met lithium. Voorbeelden van DMG's zijn de methoxy-, de tertiair amine- en de amidegroep. Deze reactie is onafhankelijk van elkaar rond 1940 door Henry Gilman[2] en Georg Wittig[3] ontdekt.
Reactiemechanisme
- Schema 1: Gestuurde ortho metalatie

Het reactiemechanisme van de DoM staat weergegeven in schema 1. Een arylverbinding (1) met een DMG geeft een interactie met een organolithiumreagens zoals n-butyllithium in zijn clustervorm, (R-Li)n, waarbij intermediair 2 ontstaat. Het heteroatoom in de DMG is de lewisbase en lithium het lewiszuur. Het zeer basische alkyllithium deprotoneert de aromatische ring op de dichtstbijzijnde plek, de orthopositie. Hierbij ontstaat aryllithium 3. Tijdens deze reactie worden de reactiepartners door de lewiszuur-base-interactie ten opzichte van elkaar gefixeerd. In de volgende stap van de reactie zal een elektrofiel reageren in een elektrofiele aromatische substitutie met een sterke voorkeur voor de positie waar het lithium zich bevindt (Ipso-substitutie). Door het elektropositieve lithium is dit de plek met de grootste elektronendichtheid. Het lithium wordt vervangen door het elektrofiel.
Gewone elektrofiele aromatische substituties met een activerende groep vertonen meestal een voorkeur voor de ortho- zowel als de para-positie, waarbij - ook rekening houdend met het feit dat de ortho-positie twee keer zo vaak voorkomt - een voorkeur voor de para-positie optreedt. De DoMreactie vertoont precies de omgekeerde regioselectiviteit omdat alleen reactie optreedt aan de ortho-positie.
Toepassingen
- Schema 2: Toepassing van DoMreacties

Voorbeelden
Optisch zuivere verbindingen
DoM is toegepast in de synthese van optisch zuivere benzylamines (schema 3)[4]. Bij nadering van het lithium-intermediair door het tosylimine is de sterisch grote tosylgroep de oorzaak van de asymmetrische inductie.
- Schema 3: Van joodbenzeen naar optisch (bijna) zuiver benzylamine.[5]

Schema 3. Toepassing DoM
Scheme 3: Reactieschema voor de reactie van joodbenzeen met n-butyllithium en (S)-tert-butyl-tert-butaanthiosulfinaat tot een optisch zuiver sulfoxide. Het sulfoxide wordt blootgesteld aan de DoMreactie, die (opnieuw) door n-butyllithium geïnitieerd en door het elektrofiel N-tosylimine voltooid wordt. Het sulfoxide wordt via hydrogenering met raneynikkel verwijderd.
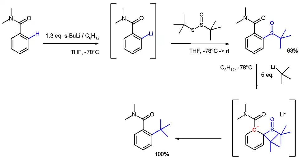
Invoeren t-Butylgroep
In een andere toepassing wordt DoM gebruikt om de veel ruimte kostende tert-butyl-groep in de orthopositie ten opzichte van een al aanwezige substituent te plaatsen (schema 4).[6]
- Schema 4: Orthoplaatsing van een t-butylgroep met behulp van DoM.[7]

Invoeren van een fenylgroep
In het laatste voorbeeld wordt DoM, gecombineerd met een Suzuki-reactie in een one-pot synthese (schema 5)[8]:
- Schema 5: one-pot synthese van 4-fenylnicotinamide uit nicotinamide.

DoM-Boronatie en Suzuki-Miyaura koppeling van pyridinederivaten
In deze serie reacties wordt gestart vanuit nicotinamide dat met LDA gelithieerd wordt, en direct daarna met tri-isopropoxyborane reageert tot een boronaatester wordt omgezet. De ester wordt meteen blootgesteld aan pinacol, waarna als laatste joodbenzeen en Tetrakis(trifenylfosfine)palladium(0) aan het reactiemengsel worden toegevoegd.
Verwante reactie
Hoewel de eerste voorbeelden van de hier beschreven reacties gevonden zijn in de organolithiumchemie zijn ze daar geenszins toe beperkt. Ook reactie op de ortho-positie is niet zonder meer noodzakelijk. Zo rapporteert de researchgroep rond David R. Armstrong in 2006[9] dat het reactieproduct van N,N-dimethylaniline met een complex van TMEDA, het natriumzout van TMP en di-tert-butylzink een meta zink-complex is, dat als stabiele kristallijne stof geïsoleerd kan worden. Dit complex reageert met jood tot N,N-dimethyl-3-joodaniline, (schema 6):
- Schema 6: N,N-dimethyl-3-joodaniline uit N,N-dimethylaniline via gestuurde metalatie.

Directed Meta Metallation
Het oplosmiddel is hexaan op kamertemperatuur. In structuur 2 is de lengte van de binding tussen zink en koolstof 203.5 pm en ligt deze in het vlak van de aromatische ring, de binding tussen natrium en koolstof is 269 pm lang en staat onder een hoek van 76° ten opzichte van het vlak van de aromatische ring.
- ↑ Victor Snieckus. (1990). Directed ortho metalation. Tertiary amide and O-carbamate directors in synthetic strategies for polysubstituted aromatics Chem. Rev.. 90 pag.: 879–933 Internetpagina: Samenvatting
- ↑ Henry Gilman, Robert L. Bebb. (1939). Relative Reactivities of Organometallic Compounds. XX.* Metalation J. Amer. Chem. Soc.. 61 pag.: 109–112 Internetpagina: Samenvatting
- ↑ Georg Wittig et al.. (1940). GEEN TITEL OPGEGEVEN Chem. Ber.. 73 pag.: 1197
- ↑ Nicolas Le Fur, Ljubica Mojovic, Nelly Plé, Alain Turck, Vincent Reboul, Patrick Metzner. (2006). ortho-Metalation of Enantiopure Aromatic Sulfoxides and Stereocontrolled Addition to Imines J. Org. Chem.. 71 pag.: 2609–2616 DOI:10.1021/jo052358p Internetpagina: Samenvatting
- ↑ ts is een tosylgroep, ee staat voor Enantiomere overmaat, vanuit het Engels: Enantiomeric Excess
- ↑ Jonathan Clayden, Christopher C. Stimson, Martine Keenan. (2006). Contra-Friedel–Crafts tert-butylation of substituted aromatic rings via directed metallation and sulfinylation Chemical Communications. 2006 pag.: 1393–1394 DOI:10.1039/b600181e Internetpagina: Samenvatting
- ↑ De lithiatie is een nucleofiele aromatische substitutie de daarop volgende reactie tot het sulfoxide een elektrofiele aromatische substitutie. In de laatste stap van de synthese treedt tert-butyllithium op als nucleofiel in opnieuw een nucleofiele aromatische substitutie.
- ↑ Manlio Alessi, Andrew L. Larkin, Kevin A. Ogilvie, Laine A. Green, Sunny Lai, Simon Lopez, Victor Snieckus. (2007). Directed ortho Metalation-Boronation and Suzuki-Miyaura Cross Coupling of Pyridine Derivatives: A One-Pot Protocol to Substituted Azabiaryls J. Org. Chem.. 72 pag.: 1588–1594 DOI:10.1021/jo0620359
- ↑ David R. Armstrong, William Clegg, Sophie H. Dale, Eva Hevia, Lorna M. Hogg, Gordon W. Honeyman, Robert E. Mulvey. (2006). Directed meta-Metalation Using Alkali-Metal-Mediated Zincation Angewandte Chemie International Edition. 45 pag.: 3775 - 3778 DOI:10.1002/anie.200600720