Corey-Fuchs-reactie
De Corey-Fuchs-reactie is een organische reactie vernoemd naar de chemici Elias James Corey en Philip L. Fuchs.[1] In de reactie wordt in twee stappen een aldehyde omgezet in een alkyn.

Mechanisme
De Corey-Fuchs-reactie is een reactie die in twee stappen uitgevoerd wordt. In de eerste stap wordt met tetrabroommethaan en trifenylfosfine in situ een tweevoudig gebromeerd fosforylide gegenereerd. Dit ylide reageert vervolgens met een aldehyde in een Wittig-reactie tot een 1,1-dibroomalkeen.

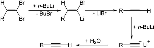
Dit 1,1-dibroomalkeen wordt in de tweede reactiestap omgezet met twee equivalenten n-butyllithium, waarbij het tot een uitwisseling komt van een bromide voor een lithium. Hierbij ontstaat dus een organolithiumverbinding, waarbij de uitwisseling selectief plaatsvindt aan de meest gesubstitueerde kant van het alkeen, en 1-broombutaan. Vervolgens vindt een omlegging plaats, waarbij behalve lithiumbromide, het gewenste alkyn ontstaat. Op grond van zijn aciditeit reageert dit alkyn onmiddellijk met het tweede equivalent n-butyllithium. Het alkyn wordt verkregen na opwerken met water.[2]

Het voordeel van deze reactie is dat het lithiumacetylide ook kan afgevangen worden door een ander elektrofiel dan water. Met trimethylsilylchloride ontstaat bijvoorbeeld het trimethylsilyl-beschermd alkyn.
Zie ook
- Gilbert-Seyfert-reactie
- ↑ E. J. Corey, P. L. Fuchs: A synthetic method for formyl→ethynyl conversion, in: Tetrahedron Lett. 1972, 36, 3769–3772; DOI:10.1016/S0040-4039(01)94157-7.
- ↑ Reinhard Brückner: Reaktionsmechanismen. 3. Auflage, Spektrum Akademischer Verlag, München 2004, p. 615-616, ISBN 3-8274-1579-9.