Anellering
Een anellering is een reactie in de organische chemie, waarbij een nieuwe ringstructuur wordt gevormd in een molecule. Er zijn verschillende mogelijke ringvormingsmethoden:

Voorbeelden van anelleringen zijn de Robinson-anellering, de Danheiser-anellering en bepaalde pericyclische reacties.
Transanellering
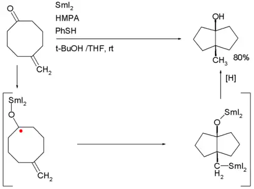
Een transanellering is een bijzonder type anellering, waarbij een intramoleculaire koolstof-koolstof-binding wordt gevormd in een grote cyclische verbinding. Hierdoor ontstaat een bicyclische structuur. Een voorbeeld hiervan is de keton-alkeencyclisatie, geïnduceerd door samarium(II)jodide, van 5-methyleencyclo-octanon:

Benzanellering
De term benzanellering wordt gehanteerd wanneer een ring wordt gevormd naast een benzeenring. Voorbeelden staan hieronder:
| Geanelleerd derivaat | Bron van de cyclische verbinding |
|---|---|
| Benzopyreen | Pyreen |
| Chinoline | Pyridine |
| Isochinoline | |
| Chromeen | Pyraan |
| Isochromeen | |
| Indool | Pyrrool |
| Iso-indool | |
| Benzofuraan | Furaan |
| Isobenzofuraan | |
| Benzimidazool | Imidazool |