Upjohn-dihydroxylering
De Upjohn-dihydroxylering is een organische reactie waarbij een alkeen wordt omgezet in een vicinaal diol:

De reactie werd in 1976 ontwikkeld door enkele medewerkers van het Amerikaanse bedrijf Upjohn.[1]
De Upjohn-dihydroxylering maakt gebruik van osmium(VIII)oxide als oxidator, maar omdat dit een dure en zeer toxische stof is, wordt er slechts een zeer kleine (katalytische) hoeveelheid toegevoegd. Het gereduceerde osmium wordt vervolgens opnieuw geoxideerd door N-methylmorfoline-N-oxide (NMO). De reactie vormt, wanneer sprake is van prochirale alkenen, hoofdzakelijk het cis-1,2-diol. Het nadeel van deze methode is dat soms overoxidatie optreedt tot het 1,2-diketon. Daarom wordt ook wel gebruikgemaakt van de Sharpless-dihydroxylering, waarbij een hoge mate van stereospecificiteit wordt bekomen.
Reactiemechanisme
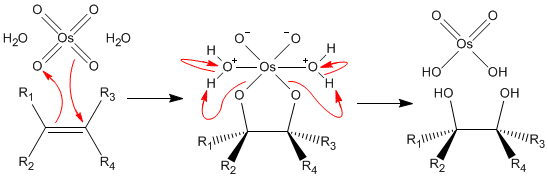
De reactie start met een 1,3-dipolaire cycloadditie van osmium(VIII)oxide aan het alkeen, waardoor een intermediair osmiaat (formeel een cyclische ester) gevormd wordt. Vervolgens addeert water ter vorming van de hydroxylgroepen en de gereduceerde osmiumverbinding.

Zie ook
- ↑ (en) V. VanRheenen, R.C. Kelly & D.Y. Cha (1976) - An improved catalytic OsO4 oxidation of olefins to cis-1,2-glycols using tertiary amine oxides as the oxidant, Tetrahedron Lett., 17 (23), pp. 1973-1976