Tsjitsjibabin-pyridinesynthese
De Tsjitsjibabin-pyridinesynthese is een organische reactie waarbij 3 equivalenten van een carbonylverbinding (keton, aldehyde of alfa,bèta-onverzadigde carbonylverbinding) met een amine of ammoniak worden omgezet tot een pyridinederivaat.[1]

De drijvende kracht van de reactie is de vorming van een aromatische verbinding en de winst aan mesomere stabilisatie.
Reactiemechanisme
De reactie start met de vorming van het imine uit reactie van een carbonylverbinding met het amine of ammoniak:

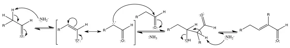
De tweede stap is een aldolcondensatie tussen de twee overige equivalenten carbonylverbinding, onder invloed van een sterke base (natriumamide):

De laatste stap betreft de reactie tussen het imine uit de eerste reactiestap en de alfa,bèta-onverzadigde carbonylverbinding uit de aldolcondensatie, met vorming van het pyridinederivaat:

Zie ook
- ↑ (de) A.E. Tscihtschibabin (1924) - Über Kondensation der Aldehyde mit Ammoniak zu Pyridinebasen, Journal für praktische Chemie, 107 (1-4), pp. 122-128