Trifluraline
| Trifluraline | |||||
|---|---|---|---|---|---|
| Structuurformule en molecuulmodel | |||||
![]() | |||||
Structuurformule van trifluraline | |||||
| Algemeen | |||||
| Chemische formule | C13H16F3N3O4 | ||||
| IUPAC-naam | α,α,α-trifluor-2,6-dinitro- N,N-dipropyl-p-toluïdine | ||||
| Andere namen | Treflan | ||||
| Molaire massa | 335,27905 g/mol | ||||
| SMILES | CCCN(CCC)C1=C(C=C(C=C1[N+](=O)[O-])C(F)(F)F)[N+](=O)[O-] | ||||
| InChI | 1S/C13H16F3N3O4/c1-3-5-17(6-4-2)12-10(18(20)21)7-9(13(14,15)16)8-11(12)19(22)23/h7-8H,3-6H2,1-2H3 | ||||
| CAS-nummer | 1582-09-8 | ||||
| EG-nummer | 216-428-8 | ||||
| Wikidata | Q418247 | ||||
| Vergelijkbaar met | benfluralin, profluralin, butralin | ||||
| Waarschuwingen en veiligheidsmaatregelen | |||||
| |||||
| H-zinnen | H317 - H351 - H410 | ||||
| EUH-zinnen | geen | ||||
| P-zinnen | P273 - P280 - P501 | ||||
| EG-Index-nummer | 609-046-00-1 | ||||
| LD50 (ratten) | (oraal) 5000 mg/kg | ||||
| Fysische eigenschappen | |||||
| Aggregatietoestand | vast | ||||
| Kleur | oranje-geel | ||||
| Dichtheid | 1,36 g/cm³ | ||||
| Smeltpunt | 47,2 °C | ||||
| Vlampunt | 100 °C | ||||
| Oplosbaarheid in water | (bij 20°C) 0,000221 g/L | ||||
| Goed oplosbaar in | hexaan, tolueen, aceton | ||||
| Slecht oplosbaar in | water | ||||
| Tenzij anders vermeld zijn standaardomstandigheden gebruikt (298,15 K of 25 °C, 1 bar). | |||||
| |||||
Trifluraline of trifluralin is de generieke naam (ISO-naam) van een veelgebruikt herbicide uit de groep van de dinitroanilines. In zuivere vorm is het een oranjegele kristallijne vaste stof.
Trifluraline is oorspronkelijk ontwikkeld door het Amerikaanse bedrijf Eli Lilly and Company, dat het onder de merknaam Treflan in de jaren '60 van de 20e eeuw op de markt bracht.[1] In de Europese Unie is trifluraline sedert 20 maart 2008 niet meer toegelaten.
Synthese
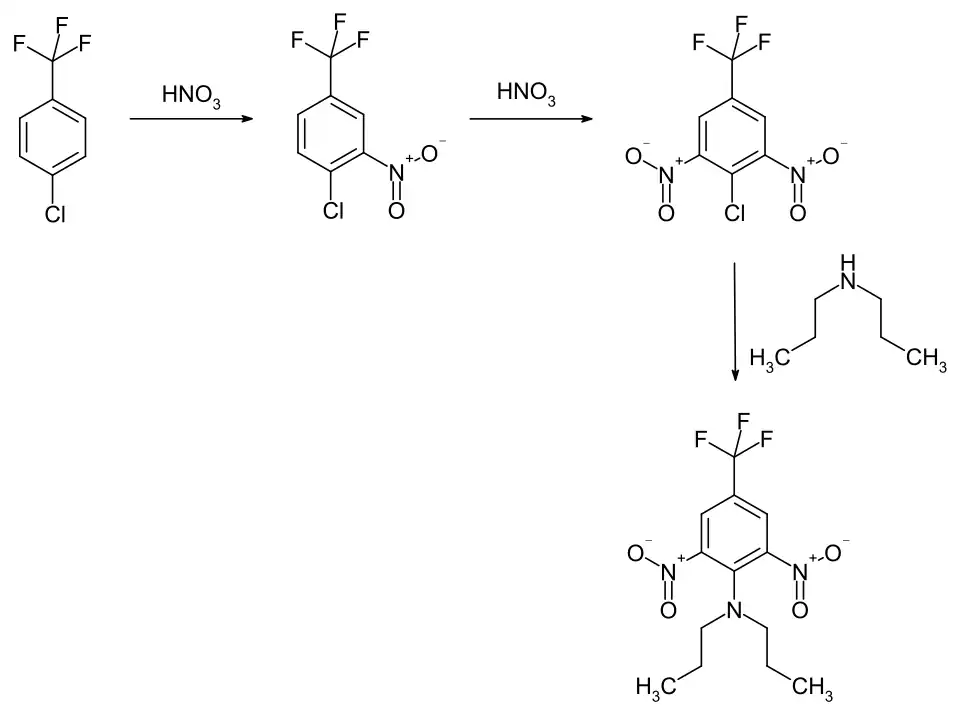
Trifluraline wordt bereid uit 4-chloorbenzotrifluoride (1) dat met salpeterzuur in twee stappen genitreerd wordt, eerst tot het mononitro-intermediair (2) en vervolgens tot het dinitro-intermediair (3). Dit laatste wordt dan in een amineringsreactor omgezet tot trifluralin (5) door reactie met dipropylamine (4).[2]

Synthese van trifluraline
Werking
Trifluralin is een selectief herbicide, voor gebruik bij de teelt van koolzaad, koolgewassen en wintergranen. Ook bij zonnebloemen en katoen kan het gebruikt worden. Het mag enkel als vóóropkomstherbicide (pre-emergence) gebruikt worden, dit is vóór het planten of zaaien van de gewassen, respectievelijk vóór opkomst van de granen (bodemherbicide).
Trifluralin is werkzaam tegen een breed gamma van grassen en breedbladige gewassen. Het wordt opgenomen door de wortels en de scheuten van deze planten en het remt de celdeling.
Regelgeving
De Europese Commissie heeft op basis van een risico-evaluatie besloten om trifluraline niet meer toe te laten als bestrijdingsmiddel, en de bestaande erkenningen voor producten op basis van trifluraline moesten uiterlijk op 20 maart 2008 ingetrokken zijn.[3] Bestaande voorraden mochten nog gedurende één jaar na deze datum gebruikt worden.
De Europese Commissie baseerde haar beslissing op een aantal problemen die vastgesteld zijn bij trifluraline:[4]
- De stof is zeer toxisch voor vissen (trifluraline is overigens ook opgenomen in de Europese lijst van prioritaire stoffen op het gebied van het waterbeleid, de zogenaamde zwarte lijst van waterverontreinigende stoffen).[5]
- De stof is ook zeer persistent in de bodem en niet gemakkelijk biologisch afbreekbaar.
- De stof heeft een hoog potentieel voor bioaccumulatie, met name in waterorganismen.
- De stof heeft een hoge vluchtigheid en kan zich door de lucht verspreiden tot ver van de plaats van toediening. Zo werden in de periode 1999-2000 in Nederland meetbare concentraties trifluralin in de lucht gemeten, hoewel dit middel in Nederland niet was toegelaten.[6]
In België waren Treflan (Dow Agrosciences) en Fluralex 480 EC (Makhteshim-Agan) erkende bestrijdingsmiddelen met trifluraline die door deze beschikking getroffen worden. Een derde in België erkend product, Trilin (Makhteshim-Agan), bevatte naast trifluraline ook linuron. Treflan en Fluralex waren erkend voor gebruik bij de teelt van koolgewassen (Brassica-soorten) en van wintergranen (wintertarwe, wintergerst, triticale, spelt). Trilin was enkel erkend voor gebruik bij graanteelten.[7]
In Nederland was trifluraline reeds voor 2008 niet toegelaten.
Na de beschikking van de Europese Commissie diende de oorspronkelijke kennisgever opnieuw een aanvraag in met nieuwe informatie, maar desondanks bleven de problemen bestaan en de Europese Commissie besloot in juni 2010 opnieuw om trifluraline niet toe te laten.[8]
Toxicologie en veiligheid
Trifluraline heeft een lage acute toxiciteit bij ratten. Het is wel toxisch voor vissen en waterorganismen, en het heeft een hoog potentieel voor bioaccumulatie.
Er bestaat een vermoeden dat de stof kankerverwekkend is.
Externe links
- ↑ U.S. Patent 3257190, "Method of eliminating weed grasses and broadleaf weeds" van 21 juni 1966, uitgereikt aan Eli Lilly and Company.
- ↑ R.N. Shreve (1977) - Chemical Process Industries, 4th Edition, pp. 431-432 - ISBN 0070571457
- ↑ Beschikking 2007/629/EG van de Commissie van 20 september 2007 betreffende de niet-opneming van trifluralin in bijlage I bij Richtlijn 91/414/EEG van de Raad en de intrekking van de toelatingen voor gewasbeschermingsmiddelen die deze stof bevatten.[dode link] Publicatieblad Nr. L255 van 29/09/2007 p. 42.
- ↑ Review report for the active substance trifluralin, 29 september 2007
- ↑ Beschikking Nr. 2455/2001/EG Van het Europees Parlement en de Raad van 20 november 2001 tot vaststelling van de lijst van prioritaire stoffen op het gebied van het waterbeleid en tot wijziging van Richtlijn 2000/60/EG Publicatieblad L331 van 15 december 2001, p. 1.
- ↑ Trendsinwater, Editie 02, December 2000. Gearchiveerd op 15 maart 2016. Geraadpleegd op 5 februari 2008.
- ↑ Fytoweb.be, geraadpleegd op 5 februari 2008
- ↑ Besluit van de Commissie van 25 juni 2010. Publicatieblad L160 van 26 juni 2010



