Thorpe-reactie
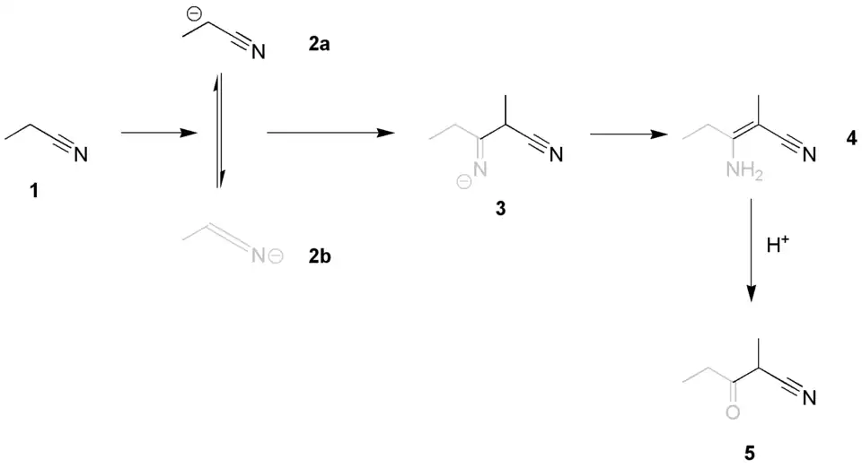
De Thorpe-reactie is een variant op de aldol-reactie die voor het eerst in 1904 door de Britse scheikundige Sir Jocelyn Thorpe werd beschreven. De α-koolstof van een nitril 1 kan adderen aan de cyanide-koolstof van een tweede molecule 1 ter vorming van een β-ketonitril 5 (na zure hydrolyse van het intermediair):

De Ziegler-methode (soms ook Thorpe-Ziegler-reactie genoemd) is een intramoleculaire variatie van deze reactie.
Reactiemechanisme
Bij behandelen van nitril 1 met een sterke base (bijvoorbeeld LDA) kan het gedeprotoneerd worden op de α-koolstof en zet een evenwicht zich in tussen 2a en 2b. Dimerisatie zal leiden tot intermediair imine 3 en verder enamine 4. Deze verbinding kan vlot gehydrolyseerd worden in zuur milieu tot β-ketonitril 5.

Referenties
- M B Smith, J March. March's Advanced Organic Chemistry, Wiley, 2001, ISBN 0-471-58589-0
- W Pötsch. Lexikon bedeutender Chemiker, VEB Bibliographisches Institut Leipzig, 1989, ISBN 3-323-00185-0
Zie ook
- Ziegler-methode (intramoleculaire thorpe-reactie)
- Claisen-condensatie