Stikstofinversie
In de scheikunde verwijst stikstofinversie (ook wel aangeduid als piramidale inversie) naar het fenomeen waarbij het vrij elektronenpaar op stikstof in ammoniak of amines een snelle inversie ondergaat, waarbij de trigonaal piramidale structuur van de molecule als het ware doorslaat:

Het proces kan het best vergeleken worden met het doorklappen van een paraplu in een storm.
Energetische consequenties
Het doorklappen van het vrij elektronenpaar op stikstof vergt energie. Het elektronenpaar bevindt zich namelijk in een gevuld sp3-gehybridiseerd orbitaal. In de geometrie met de hoogste energie - een transitietoestand - bezit stikstof een sp2-configuratie en bevindt het vrij elektronenpaar zich in een p-orbitaal. Dit is - conform de VSEPR-theorie - geen voordelige situatie. De uiteindelijke structuur is het spiegelbeeld van de oorspronkelijke. Het volledige proces wordt hieronder voorgesteld:

Het proces zelf is een evenwichtsproces, dat afhankelijk van de temperatuur, snel of traag kan verlopen. Bij kleine amines, zoals trimethylamine, bedraagt de activeringsenergie ongeveer 30 kJ/mol en geschiedt de inversie zeer snel: ongeveer 108 keer per seconde.
Naast amines kunnen ook andere stikstofbevattende functionele groepen, zoals amiden, imiden, amidinen, carbamaten, ureanen, enaminen, alkylhydrazinen en hydroxamzuren, stikstofinversie ondergaan. De voorwaarde is dat het stikstofatoom sp3-gehybridiseerd is en een vrij elektronenpaar bezit. Ammoniumverbindingen, zoals quaternaire ammoniumzouten, kunnen bijgevolg geen stikstofinversie ondergaan.
Andere verbindingen waarbij piramidale inversie wordt waargenomen zijn organische fosfanen en bepaalde zwavelverbindingen, waaronder sulfoxiden. Bij deze verbindingen is de activeringsenergie een stuk groter, zodat in de meeste gevallen optisch zuivere stereo-isomeren naast elkaar kunnen bestaan, zonder dat zij in elkaar overgaan.
Voorbeeld
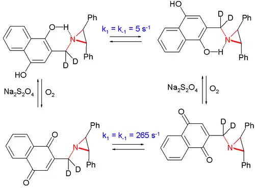
In een studie, uitgevoerd in 2006, werd de inversie van een stikstofatoom in een aziridinering bestudeerd.[1] Daarbij werd de inversiesnelheid beïnvloed door een redoxproces. In het geval dat zich een fenolische hydroxylgroep in de buurt bevindt, wordt de stikstofinversie afgeremd door intramoleculaire waterstofbrugvorming. Door oxidatie van het fenol tot het hydrochinon met zuurstofgas verloopt de stikstofinversie zo'n 50 keer sneller. Het hydrochinon kan daarbij opnieuw gereduceerd worden met natriumdithioniet.

Uitzonderingen
Amines die onderdeel zijn van starre structuren, zoals gebrugde systemen, kunnen geen stikstofinversie ondergaan. Daarom kunnen deze amines, indien zij drie verschillende substituenten bezitten, als chiraal beschouwd worden. Een voorbeeld van zo'n verbinding is sparteïne, een alkaloïde dat onder meer in de brem voorkomt en als antiaritmisch middel ingezet wordt. Ook in bepaalde niet-gebrugde verbindingen kan stikstofinversie verhinderd worden. Dit kan in ringsystemen die sterk gespannen zijn, zoals aziridine en azetidine.
- ↑ (en) M.W. Davies, M. Shipman, J.H.R. Tucker & T.R. Walsh (2006) - Control of Pyramidal Inversion Rates by Redox Switching, J. Am. Chem. Soc., 128 (44), pp. 14260-14261