Sterftetafel

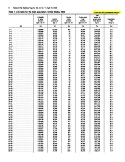
Een sterftetafel is een statistisch overzicht van de sterftecijfers onder een bevolking. In dergelijke tabellen zijn de sterftekansen en de levensverwachting bij elke leeftijd te vinden.
Sterftetafels zijn gebaseerd op waarnemingen van sterftecijfers over een bepaalde (trend)periode.
Een periodetafel is een sterftetafel gebaseerd op gerealiseerde sterftecijfers uit een periode van een of meerdere waarnemingsjaren. Het Koninklijk Actuarieel Genootschap (AG) hanteert voor zijn periodetafels de realisaties van sterftecijfers van 5 voorgaande kalenderjaren. Hierdoor worden ongewenste effecten van toevallige schommelingen beperkt. De periodelevensverwachting voor een bepaalde leeftijd is de levensverwachting voor die leeftijd, gebaseerd op een periodetafel.
In prognosetafels wordt rekening gehouden met de verwachte sterftecijfers in de toekomst. Voor Nederland wordt zo'n tafel periodiek vastgesteld door het AG. Deze maakt onderscheid tussen de Prognose Nederlandse Mannen en de Prognose Nederlandse Vrouwen.[1]
Zie ook
- ↑ Prognosetafel AG2018, Koninklijk Actuarieel Genootschap]