Schotten-Baumann-reactie
De Schotten-Baumann-reactie is een methode om amiden te synthetiseren vanuit amines en zuurchloriden:

Soms gebruikt men deze reactienaam ook om de reactie tussen een zuurchloride en een alcohol ter vorming van een ester aan te duiden. De reactie werd in 1883 beschreven door de Duitse chemici Carl Schotten en Eugen Baumann.
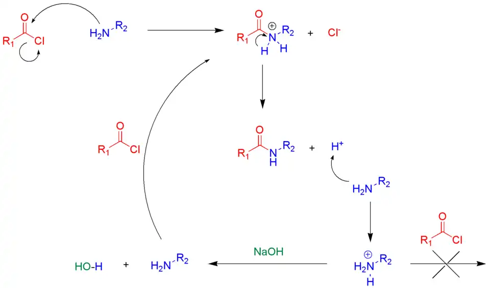
Reactiemechanisme
In een eerste stap zal een zuurchloride reageren met een amine ter vorming van een amide, chloride en een proton. Dit proton wordt echter opgenomen door het nog niet gereageerde amine waardoor het onreactief wordt ten opzichte van het zuurchloride. De opbrengst wordt zo verlaagd. Door het toevoegen van een equivalent base wordt het gevormde zuur geneutraliseerd en blijft het amine beschikbaar voor reactie met het zuurchloride. Dikwijls wordt een waterige oplossing van de base traag toegevoegd aan het reactiemengsel.

Met Schotten-Baumann-reactiecondities bedoelt men meestal het gebruik van een tweefasen-reactiemengsel, waarbij de waterige alkalische fase er voor moet zorgen dat het gevormde zuur geneutraliseerd wordt. Het geproduceerde amide blijft dan in de organische fase, dikwijls ether of dichloromethaan. Indien het amine heel goedkoop is voegt men meestal twee equivalenten amine toe: een equivalent om met het zuurchloride te reageren en een tweede om het gevormde proton te neutraliseren.
Toepassingen
De Schotten-Baumann-reactie (of -reactiecondities) worden veel toegepast in de organische chemie. Enkele voorbeelden zijn:
- synthese van N-vanillylnonanamide (1), beter bekend als synthetisch capsaïcine (vergelijkbaar effect maar veel makkelijker te maken omwille van beter beschikbare grondstoffen)
- synthese van benzamide 2 vanuit benzoylchloride en een fenethylamine
- acylering van een benzylamine met acetylchloride (azijnzuuranhydride is een alternatief)

Referenties
- W Pötsch. Lexikon bedeutender Chemiker, VEB Bibliographisches Institut Leipzig, 1989, ISBN 3-323-00185-0
- M B Smith, J March. March's Advanced Organic Chemistry, Wiley, 2001, ISBN 0-471-58589-0