Propellaan

Propellanen zijn een groep van tricyclische gebrugde koolwaterstoffen. De drie ringen zijn gerangschikt rond een gemeenschappelijke koolstof-koolstofbinding. De vorm van het molecuul lijkt daarmee op die van een propeller, met de gemeenschappelijke C-C-binding als as en de drie ringen als de propellerbladen. Propellanen vormen een klasse van cycloalkanen.
Nomenclatuur
In de wetenschappelijke literatuur wordt de gemeenschappelijke binding tussen de drie ringen de brug genoemd en de twee gemeenschappelijke koolstofatomen de bruggenhoofden. Het overige aantal koolstofatomen in de ringen, dus zonder de bruggenhoofden, wordt aangeduid met de notatie [x.y.z]propellaan. De chemische formule van [x.y.z]propellaan is dus Cx+y+z+2H2(x+y+z). De volgorde van x, y en z is niet van belang; [1.3.2]propellaan is dezelfde verbinding als [1.2.3]propellaan. Het is gebruikelijk om de drie getallen in dalende volgorde te schrijven.
Het eenvoudigste propellaan is [1.1.1]propellaan, dat bestaat uit drie ringen van drie koolstofatomen met in totaal vijf koolstofatomen. De IUPAC-benaming van [1.1.1]propellaan is tricyclo[1.1.1.0]pentaan.
Ringspanning
In de propellanen met kleine ringen, zoals [1.1.1]propellaan of [2.2.2]propellaan, staan de bruggenhoofden onder een grote spanning omdat de hoek met hun buuratomen ongewoon klein is in vergelijking met de normale hoek van 109,5° bij een tetraëdrische geometrie. In [1.1.1]propellaan bijvoorbeeld zijn die hoeken slechts 60°, zoals bij cyclopropaan. Bovendien liggen de vier bindingen van deze koolstofatomen aan eenzelfde kant van een vlak; dit is een omgekeerde geometrie ten opzichte van de normale schikking.
Het gevolg is dat deze verbindingen een zeer hoge ringspanning hebben en onstabiel en ongewoon reactief zijn. De centrale C-C-as kan gemakkelijk, soms zelfs spontaan, breken waardoor een bicyclische of monocyclische verbinding ontstaat. [2.2.1]propellaan bijvoorbeeld is slechts stabiel in vast argon bij 45K; het ontleedt bij hogere temperaturen en kan niet als een zuivere stof geïsoleerd worden.[1] [1.1.1]propellaan blijkt verrassend genoeg wel een relatief stabiele stof te zijn.
Propellanen met grotere ringen hebben een lagere ringspanning en zijn stabieler.
De ringspanning van enkele kleine propellanen is:[1]
- [1.1.1]: 427 kJ/mol
- [2.1.1]: 435 kJ/mol
- [2.2.2]: 389 kJ/mol
- [3.2.1]: 280 kJ/mol
- [3.2.2]: 271 kJ/mol
- [3.3.3]: 142 kJ/mol
Ter vergelijking: cyclopropaan heeft een ringspanning van 112 kJ/mol.
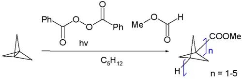
Polymerisatie

Propellanen met kleine ringen kunnen gemakkelijk polymeriseren, door de gemeenschappelijke C-C-brug te breken. Daardoor ontstaat een radicaal met twee actieve centra. Deze radicalen kunnen met elkaar combineren tot een ketenmolecuul. De polymerisatie van [1.1.1]propellaan geeft een keten met opeenvolgende bicyclo[1.1.1]pentaanringen of BCP-ringen. Men noemt dit [n]staffaan, met n het aantal BCP-ringen. Door de aanwezigheid van de kooivormige BCP-ringen zijn dit starre, staafvormige moleculen. Ze worden in de nanotechnologie onderzocht als mogelijke bouwstenen voor grotere nanostructuren door ze als bouwbalken aaneen te hechten.[2]
- 1 2 Francis A. Carey, Richard J. Sundberg. Advanced Organic Chemistry: Structure and mechanisms, blz. 8
- ↑ U.S. Patent 5405550, "Compounds and methods based on [1.1.1]propellane" van 11 april 1995 aan Josef Michl.