Polycarbonaat
Een polycarbonaat (PC) is een thermoplastisch polymeer waarbij de monomeren verbonden zijn door een carbonaatbinding. (...-O-CO-O-...). Polycarbonaat is een stevig, hard en helder transparant materiaal dat in tegenstelling tot de meeste andere kunststoffen hoge temperaturen kan weerstaan. Het is makkelijk in gebruik en wordt derhalve veel gebruikt voor een groot gebied aan toepassingen. Polycarbonaat wordt bijvoorbeeld gebruikt in cd's en dvd's, maar ook veiligheidsbrillen, helmen, helmvizieren, politieschilden, verschillende mobiele telefoons, drinkflessen en verpakking van voedingsmiddelen zijn vaak van polycarbonaat. Polycarbonaat dat niet volgens de regels van 'good manufacturing practice' geproduceerd is en in contact komt met voedingsmiddelen kan ervoor zorgen dat het schadelijke bisfenol A door de mens wordt opgenomen.

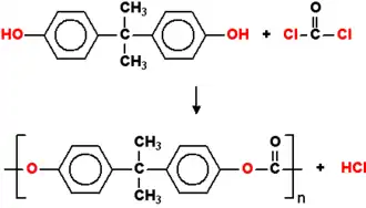
Polycarbonaat wordt gevormd door de polymerisatiereactie van een tweewaardig alcohol (een diol) met een carbonylhoudende verbinding, gewoonlijk fosgeen. Het meest gebruikte diol is het aromatische bisfenol A; maar andere aromatische (bijvoorbeeld resorcinol, hydrochinon en 4,4'-bifenol) of alifatische diolen (bijvoorbeeld isosorbide) zijn evenzo mogelijk, eventueel in combinatie. In plaats van fosgeen kan men bijvoorbeeld difenylcarbonaat of bismethylsalicylcarbonaat (BMSC) gebruiken.
De regio rond Antwerpen is belangrijk voor de productie van polycarbonaatgranulaat. In Belgiƫ produceert Covestro N.V., het vroegere Bayer MaterialScience, zowel Makrolon als Apec, dat nog temperatuurbestendiger is. In Nederland produceert SABIC (vroeger GE Plastics) in Bergen op Zoom polycarbonaat onder de naam Lexan. Makrolon en Makrolife/Makroclear zijn ook de merknamen voor polycarbonaatplaten van respectievelijk Covestro N.V. en Arla Plast. Deze platen zijn zowel in massieve (monolithische) vorm als in meerwandige uitvoering beschikbaar. Toepassingen van deze zijn onder andere te vinden in de bouw en industrie alsook in de (licht)reclame.