Piperine
| Piperine | ||||
|---|---|---|---|---|
| Structuurformule en molecuulmodel | ||||
![]() | ||||
Structuurformule van piperine | ||||
![]() | ||||
Piperinekristallen, geïsoleerd uit zwarte peper | ||||
| Algemeen | ||||
| Chemische formule | C17H19NO3 | |||
| IUPAC-naam | 1-[5-(1,3-Benzodioxol-5-yl)-1-oxo-2,4-pentadienyl]piperidine | |||
| Andere namen | 1-piperoylpiperidine, piperine | |||
| Molaire massa | 285,338 g/mol | |||
| SMILES | O=C(/C=C/C=C/C2=CC=C(OCO3)C3=C2)N1CCCCC1 | |||
| CAS-nummer | 94-62-2 | |||
| PubChem | 638024 | |||
| Wikidata | Q414501 | |||
| Beschrijving | geelachtig poeder | |||
| Waarschuwingen en veiligheidsmaatregelen | ||||
| ||||
| H-zinnen | H302 - H411 | |||
| EUH-zinnen | geen | |||
| P-zinnen | P273 | |||
| Fysische eigenschappen | ||||
| Aggregatietoestand | vast | |||
| Kleur | beige-geel | |||
| Dichtheid | 1,193 g/cm³ | |||
| Smeltpunt | 130 °C | |||
| Goed oplosbaar in | ethanol, chloroform, di-ethylether, benzeen, azijnzuur, pyridine | |||
| Slecht oplosbaar in | water, petroleumether | |||
| Nutritionele eigenschappen | ||||
| Type additief | smaakstof | |||
| Tenzij anders vermeld zijn standaardomstandigheden gebruikt (298,15 K of 25 °C, 1 bar). | ||||
| ||||
Piperine is een alkaloïde, dat het hoofdbestanddeel vormt van de korrels van zwarte peper (Piper nigrum) en verantwoordelijk is voor de scherpe smaak. In de korrels zit 5 tot 9% piperine. De zuivere stof komt voor als een ietwat gele kristallijne vaste stof, die niet goed oplosbaar is in water.
Geschiedenis
Piperine werd in 1820 ontdekt en de chemische samenstelling werd tussen 1882 en 1894 vastgesteld door de Deense natuur- en scheikundige Hans Christian Ørsted.
Tegenwoordig wordt piperine veel gebruikt om het metabolisme te stimuleren en de opname van nutriënten te verhogen. Ook de werking van bepaalde drugs kan door piperine gestimuleerd worden. Piperine is tevens te vinden in pesticiden en veel aanvullende middelen die door sporters gebruikt worden.
Synthese
De eerste stap in de synthese[1] van piperine is het introduceren van een broomatoom. Dat gebeurt door middel van een radicalaire halogenering. Een Michaelis-Arboezov-reactie met tri-ethylfosfiet zorgt daarna dat het broomatoom gesubstitueerd wordt zodat er een fosfonaat ontstaat. Die wordt dan gekoppeld aan piperonal met een gemodificeerde Wittig-reactie. Hydrolyse van de ester, productie van het zuurchloride met behulp van oxalylchloride en koppeling aan piperidine maakt de synthese dan compleet[1]

Toxiciteit
De werking van piperine is meer irriterend dan toxisch. Tot nu toe zijn er geen schadelijke effecten voor de humane gezondheid bekend, dit komt waarschijnlijk door de lage blootstelling aan piperine. In dieronderzoek zijn echter wel schadelijke reproductieve en teratogene effecten vastgesteld. Potentiële gezondheidseffecten zijn irritatie van ogen, huid en ademhalingsstelsel. In het ademhalingsstelsel is dan vooral irritatie van de slijmvliezen te zien. Oraal ingenomen kan piperine leiden tot misselijkheid, braken en diarree. Er zijn geen chronische effecten van piperine bekend.[2]
Efficacy
De LD50-waarde gemeten in acute toxiciteitonderzoeken bij volwassen mannelijke muizen is afhankelijk van de aard van toediening:
| administratie | mg/kg lichaamsgewicht |
|---|---|
| Intraveneus | 15,1 |
| Intraperitoneel | 43 |
| Subcutaan | 200 |
| Intramusculair | 400 |
Doseringen die gelijk zijn aan de normale inname van de mens veroorzaken geen bijwerkingen bij de dieren.[3]
Carcinogeniteit
Piperine lijkt van structuur op bekende carcinogene stoffen zoals safrol, estragol en methyleugenol, maar er is geen classificatie bekend bij de International Agency for Research on Cancer (IARC).[4]
Toxicokinetiek

Distributie
Als piperine oraal wordt ingenomen is 22% van de stof terug te vinden in de maag, 6% in de darm en 0,1-0,25% in de lever. (1)
Metabolisme
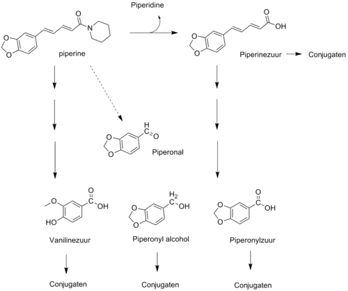
Door biotransformatie wordt piperine omgezet naar piperinezuur, piperonylzuur, piperonylalcohol, piperonal en vanilinezuur en hun conjugaten. Voor het metabolisme van piperine is een amidase nodig die de stof bij de –CO-N- binding splitst. Dan volgt oxidatie van de zijketen en splitsing van de methyleen-dioxygroep.
Piperine wordt waarschijnlijk geabsorbeerd en via de poortader naar de lever vervoerd, waar het gehydrolyseerd wordt naar piperinezuur en piperidine. Piperinezuur wordt verder verwerkt naar piperonylzuur door oxidatie van de zijketen. Als product van de oxidatie van de zijketen kan ook piperonal ontstaan. Dat kan door oxidatie omgevormd worden naar piperonylzuur of door reductie naar piperonylalcohol.
Een andere metabolische route splitst het piperine bij de methyleendioxygroep. Hierbij ontstaan catechinzuren, die O-gemethyleerd worden naar methoxyfenolen, waaronder vanilinezuur.[5]
Toxicodynamiek
Structuur- reactiviteitrelatie
Het piperinemolecuul is lipofiel en bindt sterk aan plasmaeiwitten.[6] De structuur bevat drie belangrijke componenten:
- De methyleendioxyfenyl (MDP)ring
- De zijketen met geconjugeerde dubbele bindingen
- Het piperidinedeel dat aan de zijketen vastzit via een carboxamidelinker.
Alle delen van het piperinemolecuul zijn belangrijk voor de remming van bepaalde isovormen van het cytochroom P450. Verzadiging van de twee geconjugeerde dubbele bindingen verbetert de remming significant.[7] De dubbele bindingen spelen ook een rol bij de non-competitieve reversibele remming van UDP-glucosedehydrogenase (UDP-GDH) in ratten en cavia’s. UDP-GDH is een enzym dat betrokken is bij de synthese van UDP-glucuronzuur (UDPGA), een cofactor van het enzym UDP-glucuronosyltransferase (UGT), dat betrokken is bij de glucuronidering.[8]
Piperine bindt aan de hitte- en capsaïcinereceptor TRPV1. Daardoor ontstaat de karakteristieke scherpe smaak van peper. De binding van piperine zorgt voor de desensibilisatie van de receptor en werkt zelfs beter dan zijn oorspronkelijke substraat, capsaïcine.
Effect op mens en dier
Synergistisch effect
In de mens remt piperine het cytochroom P450 3A4 non-competitief. Effecten op andere P450's en op sulfatie of glucuronidatie zijn voor humaan weefsel niet bekend, maar bij dieren wel al aangetoond.[9] Het remmen van CYP enzymen heeft consequenties voor de farmacokinetiek en biologische beschikbaarheid van medicijnen. Daarom is er al voor een grote groep remmers van CYP gekeken of ze konden helpen bij het onder controle houden van borst of baarmoederkanker, ontstekingen en andere ziektes. Van piperine is al bekend dat het de eliminatie van fenytoïne, een anti-epileptisch medicijn, vertraagt. Verder is er een significant verhoogde biologische beschikbaarheid van β-lactamantibiotica, amoxicilline-trihydraat en cefotaxime in ratten bij toevoeging van piperine. Van curcumine en co-enzym Q10 is ook bij mensen bewezen dat piperine bijdraagt aan een grotere biologische beschikbaarheid.[3] Piperine wordt gebruikt als basismolecuul voor het ontwikkelen van andere synergisten voor het selectief remmen van bepaalde cytochroom P450's bij medicijngebruik.[7]
Effecten op de spijsvertering
Piperine is in staat speekselsecretie en de activiteit van speekselamylase te verhogen. Bij orale opname van piperine in een enkele dosering toont het een positieve stimulerende invloed op galzuursecretie. Uit dierenonderzoek blijkt dat de activiteit van enzymen zoals trypsine, chymatrypsine en intestinaal lipase verhoogd kan worden.[3]
Antioxidanteffecten
Piperine kan oxidatieve schade tegengaan door vrije radicalen, (reactive oxygen species (ROS)) weg te vangen en lipideperoxidatie te remmen. Daarom kan oxidatieve stress veroorzaakt door carcinogenen en vet voedsel met piperine worden bestreden. Het is een goede antioxidant en kan sommige effecten van diabetes mellitus verminderen.[3]
Invloed op het reproductieve systeem
Er worden in-vitro-onderzoek en dierexperimenten uitgevoerd om de invloeden van piperine op het reproductieve systeem te bepalen. Piperine kan onder bepaalde concentraties de mate van polyspermie en het bevruchtingsvermogen reduceren. Piperine heeft bovendien een significant reducerende invloed op het testisgewicht van mannelijke ratten en kan tot gereduceerd paringsgedrag en verminderde vruchtbaarheid leiden.[3]
Antiontstekingsactiviteit
Piperine werkt significant op acute veranderingen in het ontstekingsproces en op chronische granulatieve veranderingen. Het is in staat een waarschuwing te initiëren via adrenalcatecholaminesecretie. Bovendien blijkt piperine de melanocytengroei te stimuleren.[3]
Andere effecten op bio-energetische reacties
Piperine heeft bij in vitro-experimenten effecten op het calciumtransport, inhibitie van de mitochondriale oxidatieve fosforylatie en stimulatie van het enzym dinitrofenol, dit laatste enzym introduceert mitochondriale ATPase-activiteit.[3] Ook is bekend dat piperine pijnstillend kan werken. Bovendien stimuleert het waarschijnlijk serotoninesynthese en heeft het daarom mogelijk een antidepressieve werking.
Toepassingen
Piperine wordt gebruikt om honden, katten, eekhoorns, stinkdieren, wasberen en de bosmarmot te weren. Deze dieren worden weggehouden door de onplezierige geur en smaak.[10]
- 1 2 Chemistry 251 Laboratory -- Spring 2001, Piperine Project Home Page, Faculty Mentor: Tim Hoyt , voor het laatst bewerkt op 2-12-01
- ↑ Gearchiveerde kopie. Gearchiveerd op 28 februari 2012. Geraadpleegd op 30 maart 2009.
- 1 2 3 4 5 6 7 Srinivasan K, Black pepper and its pungent principle-piperine: A review of diverse physiological effects,CRITICAL REVIEWS IN FOOD SCIENCE AND NUTRITION,[online], 2007, Volume: 47, Pages: 735-748
- ↑ Iarc - International Agency For Research On Cancer
- ↑ BHAT BG, CHANDRASEKHARA N, METABOLIC DISPOSITION OF PIPERINE IN THE RAT, TOXICOLOGY, [online], 1987, Volume: 44, Pages: 99-106
- ↑ Reen RK, Roesch SF, Kiefer F, et al., Piperine impairs cytochrome P4501A1 activity by direct interaction with the enzyme and not by down regulation of CYP1A1 gene expression in the rat hepatoma 5L cell line, BIOCHEMICAL AND BIOPHYSICAL RESEARCH COMMUNICATIONS, [online], 1996, Volume: 218, pages: 562-569.
- 1 2 Koul S, Koul JL, Taneja SC, et al., Structure-activity relationship of piperine and its synthetic analogues for their inhibitory potentials of rat hepatic microsomal constitutive and inducible cytochrome p450 activities, Bioorganic & medicinal chemistry, [online], 2000, Volume: 8, pages: 251-268.
- ↑ Reen RK, Jamwal DS, Taneja SC, et al, Impairment of UDP-glucose dehydrogenase and glucuronidation activities in liver and small-intestine of rat and guinea-pig in-vitro by piperine, Biochemical pharmacology, [online], 1993, Volume: 46, pages: 229-238.
- ↑ Volak LP, Ghirmai S, Cashman JR, et al., Curcuminoids inhibit multiple human cytochromes P450, UDP-glucuronosyltransferase, and sulfotransferase enzymes, whereas piperine is a relatively selective CYP3A4 inhibitor, DRUG METABOLISM AND DISPOSITION, [online], 2008, Volume: 36, pages: 1594-1605.
- ↑ US Environmental Protection Agency (EPA), piperine (043501) fact sheet



