Piancatelli-omlegging
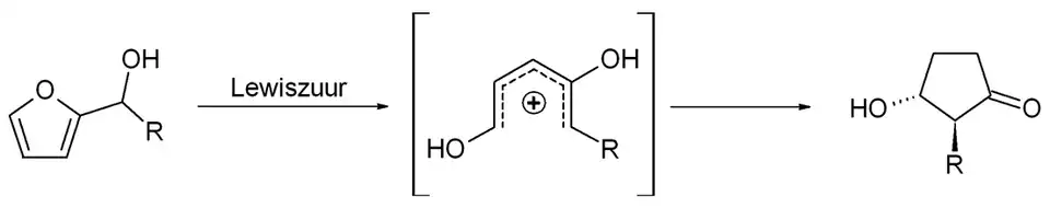
De Piancatelli-omlegging is een organische reactie, waarbij een 4-hydroxycyclopentanonderivaat wordt gevormd uit een zuur-gekatalyseerde omlegging van een 2-furylcarbinol:[1] De omlegging is vernoemd naar Giovanni Piancatelli die hem in 1976 samen met anderen ontdekte.

Zie ook
Bronnen, noten en/of referenties
- ↑ (en) G. Piancatelli, A. Scettri & S. Barbadoro (1976), Tetrahedron Lett., 17, p. 3555