Peroxycarbonzuur

De peroxycarbonzuren (ook wel percarbonzuren of perzuren genoemd) vormen een klasse van organische verbindingen die kunnen opgevat worden als de geoxideerde vorm van carbonzuren. In plaats van een COOH-groep bezitten zij een COOOH-groep.[1] Zoals de meeste peroxiden zijn ook de peroxycarbonzuren in zuivere toestand zeer gevoelig voor explosieve ontleding. De explosiviteit daalt echter met stijgende grootte van de alkyl- of arylgroep. De peroxycarbonzuren zijn oplosbaar in water tot een ketenlengte van ongeveer 6 koolstofatomen. Met grotere ketenlengte neemt de lipofilie toe. De aromatische peroxycarbonzuren zijn in de meeste organische oplosmiddelen oplosbaar.
Synthese
Peroxycarbonzuren worden bereid uit oxidatie van het overeenkomstig carbonzuur met waterstofperoxide. De aromatische varianten worden bereid uit het zuurchloride en waterstofperoxide in basisch milieu. Een voorbeeld is de synthese van het stabiele 3-chloorperoxybenzoëzuur:

Synthese van meta-chloorperbenzoëzuur.
Een alternatieve synthese is de reactie van een aldehyde met zuurstofgas. Dit is een radicalaire oxidatie die echter verder doorloopt; het peroxycarbonzuur is dus een intermediair. Verdere reactie treedt op met een tweede equivalent aldehyde tot het carbonzuur. Dit is de Baeyer-Villiger-oxidatie.
Eigenschappen en reacties
Aangezien peroxycarbonzuren onstabiel zijn, worden zij steeds in situ bereid. De grote uitzondering is hier 3-chloorperoxybenzoëzuur, dat een kristallijne vaste stof is.
Epoxidatie
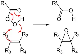
Peroxycarbonzuren zijn belangrijke reagentia, onder meer bij de epoxidatie van alkenen (de zogenaamde Prileschajew-reactie). Hierbij wordt naast het epoxide ook het overeenkomstig carbonzuur gevormd. Als peroxycarbonzuur wordt meestal het stabiele 3-chloorperoxybenzoëzuur ingezet. Andere mogelijk inzetbare zuren zijn perazijnzuur en permierenzuur. De epoxidatie verloopt als volgt:

Het interessante aan deze reactie is dat - aangezien het geïntroduceerde zuurstof elektronenarm is in het peroxycarbonzuur - de elektronenrijke alkenen selectief hiermee geëpoxideerd kunnen worden.
Verder worden peroxycarbonzuren ingezet bij de Baeyer-Villiger-oxidatie als oxidator.
Zuur-base-activiteit
Peroxycarbonzuren zijn over het algemeen zwakke zuren, waardoor ze met bijvoorbeeld water een zuur-basereactie aangaan. Hierbij wordt het carbonzuur en waterstofperoxide gevormd:
.svg.png)
Hydrolyse van een peroxycarbonzuur.
- ↑ (en) IUPAC Gold Book