Pectine

Pectine is een polysacharide (vertakt en veresterd D-galacturonzuur) en is een onderdeel van de celwanden van planten en vruchten. Pectine zorgt voor het aan elkaar klitten van de plantencellen bij hun middenlamel.
Tijdens de rijping van de vrucht wordt hemicellulose afgebroken tot protopectinen, waaruit weer pectine wordt gevormd, dat bij verdere rijping omgezet wordt in pectinezuur en uiteindelijk in pectazuur.
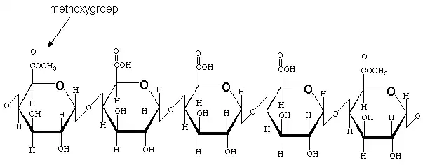
Chemische structuur
Pectine bestaat uit een hoofdketen met zijtakken en is zeer variabel in zowel lengte als samenstelling. De hoofdketen bestaat uit een polysacharide en is opgebouwd uit aan elkaar gekoppelde veresterde D-galacturonzuur moleculen. De koppeling gebeurt op de α(1-4)-plaats. De carbonzuurgroepen (-COOH-groep) van de hoofdketen zijn voor het grootste deel veresterd tot methoxygroepen. Er kunnen ook acetylgroepen aan de vrije hydroxygroepen (-OH-groepen) vastzitten. Aan de hoofdketen zitten meestal rhamnosegroepen vast.

De zijtakken kunnen bestaan uit xylose, galactose en arabinose, die vaak groepsgewijs aan de hoofdketen zitten.
Er wordt HM-pectine en LM-pectine onderscheiden. Bij HM-pectine is >50% van de methylgroepen veresterd en bij LM-pectine <50% methyl veresterd. HM-pectine vormt onder andere omstandigheden een gel dan LM-pectine. HM-pectine vormt een gel in een zure omgeving en LM-pectine in een calciumrijke omgeving.
Gebruik
Pectine vormt in een zuur milieu bij verhitten met suiker een gelei en wordt daarvoor gebruikt als een verdikkingsmiddel. De bekendste toepassing hiervan is in jam. De meeste vruchten bevatten niet genoeg pectine om een voldoende stevige jam te geven. Appel, pruim, verschillende soorten bes, sinaasappel(schil) en kweepeer bevatten relatief veel pectine en kersen en aardbeien vrij weinig. Aan pectine-arme vruchten of aan vruchtensap kan extra pectine worden toegevoegd om het goed te laten geleren; ook is het gebruik van geleisuiker (een mengsel van onder andere pectine en kristalsuiker) mogelijk. Pectine breekt onder invloed van hitte af, zodat het indikken door inkoken niet helpt om de jam dikker te maken.
Soms wordt pectine als verdikkingsmiddel in yoghurt gebruikt of als vervanger van dierlijke gelatine.
Tijdens de Tweede Wereldoorlog werden geallieerde vliegers voorzien van op zijde gedrukte landkaarten ter ondersteuning van een eventuele ontsnappingspoging. Het drukproces was in eerste instantie zo goed als onmogelijk, omdat de verschillende kleuren inkt vrijwel meteen doorliepen. De bedenker van de kaarten, Christopher Hutton, voegde pectine aan inkt toe en ontdekte dat deze stof de inkt dusdanig bond dat het mogelijk was zelfs de kleinste topografische details leesbaar af te beelden.
Winning
Pectine wordt gewonnen uit appel-, suikerbieten- en citruspulp, dat bij het maken van sap na het persen overblijft.
Sapklaring
Bij het persen van sap komt pectine in het sap terecht. Voor het klaren (helder maken) of vloeibaar maken van het sap moet er dan ook een pectinase (pectineafbrekend enzym) aan het sap worden toegevoegd.
Pectine heeft als E-nummer: E440(a).
Trivia
Otto Frank, de vader van Anne Frank, was filiaalhouder van de Nederlandse vestiging van Opekta, een van oorsprong Duits handelsbedrijf voor pectine.