Passerini-reactie
De Passerini-reactie is een organische multicomponentreactie tussen een keton of aldehyde, een isocyanide en een carbonzuur, ter vorming van een alfa-acyloxyamide.

De reactie werd genoemd naar de Italiaanse scheikundige Mario Passerini, die ze voor het eerst publiceerde in 1921.[1] Het was de eerste multicomponentreactie die gebaseerd was op het gebruik van isocyaniden. De reactie is van belang bij het aanleggen van chemische bibliotheken: dit zijn grote verzamelingen van chemische verbindingen die via combinatoriële chemie worden samengesteld. Door verschillende uitgangsstoffen aan te wenden, kan een grote verscheidenheid aan eindproducten gevormd worden.[2]
Reactiemechanisme
Het reactiemechanisme van de Passerini-reactie is nog niet volledig opgehelderd. Er worden twee mogelijke mechanismen voorgesteld, namelijk een ionair en een geconcerteerd mechanisme. Het ionair mechanisme is sterk analoog aan dat van de verwante Ugi-reactie.
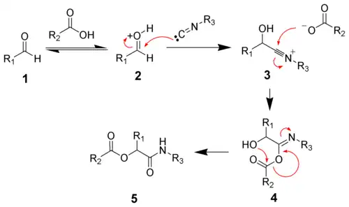
Ionair mechanisme
In een polair oplosmiddel, zoals water of methanol, start met de protonering van het aldehyde of keton (1) door het carbonzuur, waardoor intermediair 2 ontstaat. De carbonylgroep wordt hierdoor geactiveerd en het enigszins nucleofiele koolstofatoom van het isocyanide kan vlot adderen, waarbij een nitrilium-intermediair (3) gevormd wordt. Het aanwezige carboxylaat kan nu een nucleofiele aanval uitvoeren op het koolstofatoom van het ingevoerde isocyanide, waardoor een intermediaire acylverbinding (4) ontstaat. Deze tautomeriseert tot het uiteindelijke amide (5).

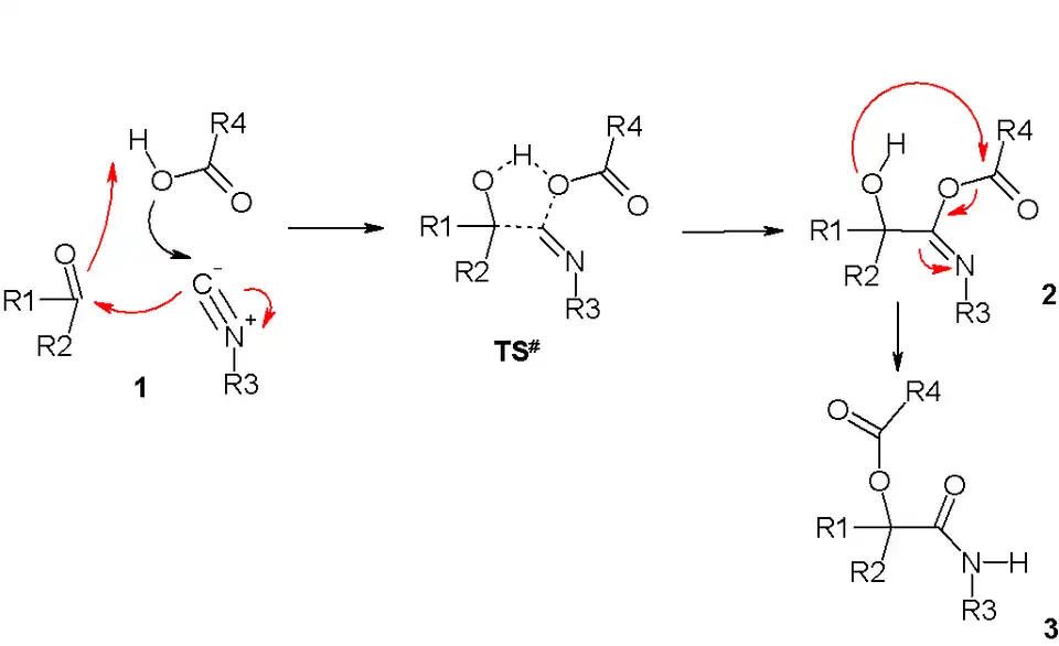
Geconcerteerd mechanisme
In niet-polaire oplosmiddelen wordt een geconcerteerd mechanisme tussen de drie reagentia voorgesteld:[3]

De eerste reactie betreft een trimoleculaire reactiestap. De transitietoestand (TS#) wordt gestabiliseerd door intramoleculaire waterstofbrugvorming. De omzetting van het gevormde intermediair 2 naar het eindproduct (3) schiedt via een intramoleculaire acyltransfer. Dit mechanisme is een schoolvoorbeeld van convergente synthese.
Zie ook
- ↑ M. Passerini & L. Simone (1921) - Gazz. Chim. Ital., 51, pp. 126-129
- ↑ (en) A. Dömling (2002) - Recent advances in isocyanide-based multicomponent chemistry, Current Opinion in Chemical Biology, 6 (3), pp. 306-313
- ↑ (en) L. Banfi, R.Riva (2005) - The Passerini Reaction, Organic Reactions, vol. 65, L.E. Overman Ed. Wiley, ISBN 0-471-68260-8