Ninhydrine
| Ninhydrine | ||||
|---|---|---|---|---|
| Structuurformule en molecuulmodel | ||||
![]() | ||||
Structuurformule van ninhydrine | ||||
![]() | ||||
Structuurformule van 1,2,3-indaantrion | ||||
| Algemeen | ||||
| Chemische formule | C9H4O3 | |||
| IUPAC-naam | 2,2-dihydroxy-1,3-indaandion | |||
| Molaire massa | 178,14 g/mol | |||
| CAS-nummer | 485-47-2 | |||
| EG-nummer | 207-618-1 | |||
| Wikidata | Q421098 | |||
| Waarschuwingen en veiligheidsmaatregelen | ||||
| ||||
| H-zinnen | H302 - H315 - H319 - H335 | |||
| EUH-zinnen | geen | |||
| P-zinnen | P261 - P305+P351+P338 | |||
| Fysische eigenschappen | ||||
| Aggregatietoestand | vast | |||
| Kleur | kleurloos-wit | |||
| Dichtheid | 0,862 g/cm³ | |||
| Smeltpunt | 250 °C | |||
| Goed oplosbaar in | ethanol | |||
| Matig oplosbaar in | water | |||
| Tenzij anders vermeld zijn standaardomstandigheden gebruikt (298,15 K of 25 °C, 1 bar). | ||||
| ||||
Ninhydrine is een organische verbinding die gebruikt wordt voor het zichtbaar maken van vingerafdrukken op poreuze materialen, voornamelijk op papier. Het reageert met de in de vingerafdruk aanwezige aminozuren tot een paarse component (het zogeheten Ruhemann's purple).

Toepassingen
In de medische expertise wordt al eens gebruikgemaakt van de ninhydrine-proef. Dit is geen sensibiliteitsproef maar een functieproef van de spontane activiteit van de zweetklieren; deze proef verschaft ons namelijk gegevens over het functioneren van het distale sudomotorische neuron dat ontspringt in de ganglia van de truncus sympathicus.
Karakteristiek hierbij is het uitvalspatroon van de zweetafscheiding bij schade aan de nervus ulnaris. Hierbij ontbreekt de paarse kleur op de vingers of de handpalm op de plaatsen waar hij wel normaal wordt verwacht: het is een negatief of uitvallingsbeeld. Deze proef vormt een waardevolle aanvulling van het diagnostisch arsenaal van de perifere neurologie. De ninhydrineproef heeft bovendien het voordeel op het gebruik van thermische platen waarbij de zichtbaarheid van de warmtewaarneming instabiel is. Ook in sporenonderzoek bij de politie kan ninhydrine gebruikt worden om vingerafdrukken, bloed, sperma, speeksel, huidschilfers, etc van eventuele daders op te sporen.
In laboratoria wordt ninhydrine gebruikt voor het zichtbaar maken van aminozuren na dunnelaagchromatografie of vloeistofchromatografie. Vaak worden gespecialiseerde aminozuuranalysatoren[1] met HPLC-technologie en postkolomderivatisering met ninhydrine toegepast voor de detectie van vrije en eiwitgebonden aminozuren, zoals vereist in de hele EU in de diervoederindustrie.[2] Een andere mogelijkheid is het testen van een oplossing op de aanwezigheid van ammonium.
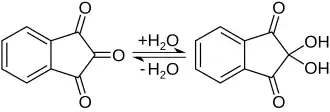
Structuur
In waterig milieu bestaat er een evenwicht tussen de gehydrateerde en de gedehydrateerde vorm van ninhydrine:
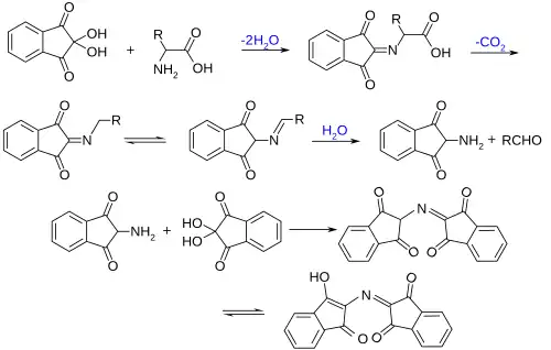
Reactiemechanisme
Het eindproduct van de reactie met aminozuren is de aaneenschakeling van twee ninhydrinemoleculen. Dit molecule bevat een lang geconjugeerd systeem, wat de blauw-paarse kleur verklaart (Ruhemann's purple). Deze kleur is zo intens dat ninhydrine zelfs minieme concentraties aminozuren (en bij uitbreiding eiwitten) kan aantonen.
- ↑ (en) Amino Acid Analyzers | ARACUS | Made in Germany | membraPure. membrapure.de. Geraadpleegd op 18 november 2025.
- ↑ Commission Regulation (EC) No 152/2009 of 27 January 2009 laying down the methods of sampling and analysis for the official control of feed.




