Nifedipine
| Nifedipine | ||||
|---|---|---|---|---|
| Chemische structuur | ||||
![]() | ||||
| Gebruik | ||||
| Geneesmiddelengroep | Antihypertensiva | |||
| Subklasse | Calciumantagonist | |||
| Merknamen | Adalat; generiek | |||
| Indicaties | angina pectoris; essentiële hypertensie; fenomeen van Raynaud | |||
| Toediening | oraal | |||
| Databanken | ||||
| CAS-nummer | 21829-25-4 | |||
| ATC-code | C08CA05 | |||
| PubChem | 4485 | |||
| DrugBank | DB01115 | |||
| Fysisch-Chemische gegevens | ||||
| Molecuulformule | C17H18N2O6 | |||
| IUPAC-naam | Dimethyl-1,4-dihydro-2,6-dimethyl- 4-(2-nitrofenyl)pyridin-3,5-dicarboxylaat | |||
| Molmassa | 346,33 g/mol | |||
| Smeltpunt | 172-174 °C | |||
| ||||
Nifedipine is een geneesmiddel dat behoort tot de calciumantagonisten van het dihydropyridine-type. Het wordt voorgeschreven voor de behandeling van stabiele angina pectoris indien bètablokkers onvoldoende werkzaam zijn of contrageïndiceerd zijn; van essentiële hypertensie, bij voorkeur in combinatie met een bètablokker en eventueel een diureticum; en van het fenomeen van Raynaud.
Het middel werd oorspronkelijk ontwikkeld door Bayer[1], dat het onder de merknaam Adalat verkoopt. Maar het is inmiddels ook als generiek geneesmiddel op de markt. Het is verkrijgbaar in capsule- of tabletvorm; ook als tablet met vertraagde afgifte ("retardtablet").
De stof is opgenomen in de lijst van essentiële geneesmiddelen van de WHO.
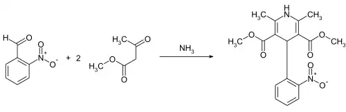
Synthese
De oorspronkelijke synthese[1] betrof de reactie van 2-nitrobenzaldehyde met methylacetoacetaat en ammoniak:

