Negishi-koppeling
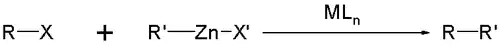
De Negishi-koppeling (genoemd naar Ei-ichi Negishi) is een koppelingsreactie in de organische synthese. In de organische reactie spelen de volgende moleculen een rol: organisch zinkcomplex en een organisch halogenide. Als katalysator wordt nikkel of palladium gebruikt om de nieuwe koolstof-koolstofbinding te vormen.[1][2]

- Het halogenide (X) kan een chloride, bromide of een jodide maar ook triflaat of acetyloxygroep met als het organische deel R alkenyl, aryl, allyl, alkynyl or propargyl.
- Het halide X in het organische zink complex kan bestaan uit chloride, bromide of een jodide en het organische deel R' uit alkenyl, aryl, allyl of alkyl.
- Het metaal M van de katalysator is nikkel of palladium
- Het ligand L van de katalysator is meestal trifenylfosfine, dppe, BINAP of chiraphos
Palladium katalysatoren hebben over het algemeen een hogere opbrengst en meer tolerantie voor de functionele groep.
De reactie is genoemd naar Ei-ichi Negishi.
Reactiemechanisme
De actieve katalysator in deze reactie heeft geen lading of valentie. De reactie verloopt via een oxidatieve additie van het organische halide gevolgd door een transmetalatie van de zink groep en vervolgens een reductieve eliminatie.
Zowel organische halogeniden als organische zinkmoleculen kunnen als uitgangsmateriaal worden gebruikt.[3]
Toepassing
De Negishi-koppeling wordt gebruikt voor de synthese van 2,2'-bipyridine uit 2-bromopyridine met tetrakis(trifenylfosfine)palladium(0),[4] de synthese van bifenyl uit o-tolylzinkchloride en o-joodtolueen en tetrakis(trifenylfosfine)palladium(0),[5] en de synthese van 5,7-hexadecadieen uit 1-decyn en (Z)-1-hexenyljodide.[6]
De Negishi-koppeling wordt gebruikt in de synthese van hexaferrocenylbenzeen:[7]
met hexajoodbenzeen, diferrocenylzink en tris(dibenzylideenaceton)dipalladium(0) in tetrahydrofuran. De opbrengst is maar 4%, hetgeen duidt op verdrukking bij de aryl kern.
In een nieuwe methode wordt palladium eerst geoxideerd door haloketon 2-chloor-2-fenylacetofenon 1 en vervolgens accepteert het ontstane palladium OPdCl complex zowel het organische zink complex 2 als het organische tin complex 3 bij een dubbele transmetalatie.[8]
Zie ook
- Heck-reactie
- Hiyama-koppeling
- Kumada-koppeling
- Petasis-reactie
- Stille-reactie
- Sonogashira-koppeling
- Suzuki-reactie
Externe links
- ↑ Anthony O. King, Nobuhisa Okukado and Ei-ichi Negishi (1977). Highly general stereo-, regio-, and chemo-selective synthesis of terminal and internal conjugated enynes by the Pd-catalysed reaction of alkynylzinc reagents with alkenyl halides. Journal of the Chemical Society Chemical Communications: 683. DOI: 10.1039/C39770000683.
- ↑ Strategic Applications of Named Reactions in Organic Synthesis Laszlo Kurti, Barbara Czako Academic Press (March 4, 2005), ISBN 0-12-429785-4
- ↑ Juan A. Casares, Pablo Espinet, Beatriz Fuentes, and Gorka Salas (2007). Insights into the Mechanism of the Negishi Reaction: ZnRX versus ZnR2 Reagents. Journal of the American Chemical Society 129 (12): 3508. PMID 17328551. DOI: 10.1021/ja070235b.
- ↑ (en) A.P. Smith, S.A. Savage, J.C. Love & C.L. Fraser (2004) - Synthesis of 4-, 5-, and 6-methyl-2,2'-bipyridine by a Negishi cross-coupling strategy: 5-methyl-2,2'-bipyridine, Organic Syntheses, 10, p. 517
- ↑ (en) E. Negishi, T. Takahashi & O.K. Anthony (1993) - Synthesis of biaryls via palladium-catalyzed cross-coupling: 2-methyl-4'-nitrobiphenyl, Organic Syntheses, 8, p. 430
- ↑ (en) E. Negishi, T. Takahashi & S. Baba (1993) - Palladium-catalyzed synthesis of conjugated dienes, Organic Syntheses, 8, p. 295
- ↑ Yong Yu, Andrew D. Bond, Philip W. Leonard, Ulrich J. Lorenz, Tatiana V. Timofeeva, K. Peter C. Vollhardt, Glenn D. Whitener and Andrey A. Yakovenko (2006). Hexaferrocenylbenzene. Chemical Communications (24): 2572. PMID 16779481. DOI: 10.1039/b604844g.
- ↑ Yingsheng Zhao, Haibo Wang, Xiaohui Hou, Yanhe Hu, Aiwen Lei, Heng Zhang, and Lizheng Zhu (2006). Oxidative Cross-Coupling through Double Transmetallation: Surprisingly High Selectivity for Palladium-Catalyzed Cross-Coupling of Alkylzinc and Alkynylstannanes. Journal of the American Chemical Society 128 (47): 15048. PMID 17117830. DOI: 10.1021/ja0647351.


