Modafinil
| Modafinil | ||||
|---|---|---|---|---|
| Chemische structuur | ||||
![]() | ||||
![]() | ||||
| Farmaceutische gegevens | ||||
| Metabolisatie | hepatisch | |||
| Halveringstijd (t1/2) | 8–18 uur | |||
| Uitscheiding | renaal | |||
| Gebruik | ||||
| Merknamen | Provigil, Modiodal | |||
| Toediening | oraal | |||
| Databanken | ||||
| CAS-nummer | 68693-11-8 | |||
| ATC-code | N06BA07 | |||
| PubChem | 4236 | |||
| DrugBank | APRD00534 | |||
| Fysisch-Chemische gegevens | ||||
| Molecuulformule | ||||
| IUPAC-naam | (RS)-2-benzhydrylsulfinylethanamide | |||
| Molmassa | 273,35 g/mol | |||
| ||||
Modafinil (ook bekend als Provigil of Modiodal) is een middel dat wordt voorgeschreven bij mensen die lijden aan narcolepsie. Het middel wordt niet veel gebruikt, het wordt alleen voorgeschreven door in slaap-/waakstoornissen gespecialiseerde neurologen en meestal alleen als het veel bekendere middel methylfenidaat niet werkt.[1] Het middel is ontwikkeld door het Franse bedrijf Laboratoire Louis Lafon[2] (later Cephalon France) en wordt in Nederland op de markt gebracht onder de merknaam Modiodal.
Niet-geregistreerd gebruik van modafinil vindt ook plaats bij fibromyalgie, myalgische encefalomyelitis of chronischevermoeidheidssyndroom, bij ADHD en bij 'normale' (geen narcoleptische) vermoeidheid. In de Verenigde Staten is het middel aan een opmars bezig als smart drug, waarbij een journalist van New York Magazine de vergelijking met het fictieve geneesmiddel NZT uit de Amerikaanse film Limitless heeft gemaakt.[3] Modafinil zou de cognitieve functies, het geheugen en de leerprestaties kunnen verbeteren.[4] Daarnaast wordt de stimulans modafinil (en vergelijkbare middelen) regelmatig gebruikt door het leger.[5] In dit geval gaat het om de alertheid en veiligheid van militaire piloten en andere bestuurders van voertuigen.[6][7]
Dosering

Modafinil bestaat enkel in tabletvorm. De dagelijkse dosis is 200 mg modafinil. Na 14.00 uur moeten de tabletten niet meer worden ingenomen omdat er dan problemen met slapen kunnen ontstaan.
Werking en kinetiek
De werking van modafinil is nog niet helemaal duidelijk. Studies hebben inmiddels aangetoond dat modafinil de heropname van dopamine door zenuwcellen remt, via blokkering van de dopamine-transporter.[8] Hierdoor neemt de concentratie dopamine tussen zenuwcellen (synaptische spleet) toe. Er is echter geen sprake van verhoogde dopamine-afgifte. Bovendien is de heropname remming relatief zwak. Andere effecten worden nog niet uitgesloten. Na 2 tot 3 uur is de plasmaconcentratie maximaal. Modafinil wordt in de lever gemetaboliseerd en via de nieren uitgescheiden.
Bijwerkingen
Modafinil geeft voornamelijk bijwerkingen die verband houden met het centraal zenuwstelsel als aanvallen van nervositeit en slapeloosheid, neiging tot agressiviteit en anorexie. Andere mogelijke bijwerkingen zijn verminderde eetlust, angst, depressie, verwardheid, duizeligheid, slaperigheid, paresthesie, tachycardie, hartkloppingen, wazig zien, vasodilatatie, buikpijn, misselijkheid, droge mond, diarree, dyspepsie, obstipatie, pijn op de borst, asthenie.[9]
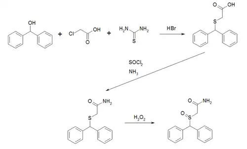
Synthese
De syntheseroute voor racemisch modafinil die in het octrooi[2] van Laboratoire L. Lafon is beschreven verloopt als volgt:
- Benzhydrylthioazijnzuur of 2-(difenylmethylthio)azijnzuur (bovenaan rechts in de figuur) wordt gevormd door de reactie van difenylmethanol, chloorazijnzuur en thio-ureum.
- Benzhydrylthioazijnzuur reageert met thionylchloride tot benzhydrylthioacetylchloride en vervolgens met ammoniak tot benzhydrylthioacetamide (onderaan links).
- Met waterstofperoxide wordt de sulfidegroep geoxideerd tot sulfoxide, zodat benzhydrylsulfinylacetamide (modafinil) ontstaat.
- ↑ College voor zorgverzekeringen, Preparaattekst Modafinil. Farmaceutisch Kompas (2008).
- 1 2 U.S. Patent 4177290, "Acetamide derivatives" van 4 december 1979 aan Laboratoire L. Lafon. Gearchiveerd op 19 maart 2017.
- ↑ Kolker, R., The Real Limitless Drug Isn’t Just for Lifehackers Anymore, New York News and Feauture, 31 maart 2013. Gearchiveerd op 26 mei 2025.
- ↑ Ghosh, P. (2007), Drugs may boost your brain power, BBC News, 16 april 2007. Gearchiveerd op 18 december 2024.
- ↑ Steven de Jong, Wie het minst slaapt, vecht het best. Legers overwegen nieuwe drugs, NRC, 30 mei 2013. Gearchiveerd op 7 september 2015.
- ↑ Harris, J. (2010) Enhancing Evolution: the ethical case for making better people, Princeton University Press, hoofdstuk 2, p. 26-30
- ↑ Henry Greely et. al. (2008) Towards responsible use of cognitive-enhancing drugs by the healthy Nature
- ↑ Zolkowska D, Jain R, Rothman RB, Partilla JS, Roth BL, Setola V, Prisinzano TE, Baumann MH (May 2009). "Evidence for the involvement of dopamine transporters in behavioral stimulant effects of modafinil". J. Pharmacol. Exp. Ther. 329 (2): 738–46. Gearchiveerd op 27 september 2024.
- ↑ Modafinil in het Farmacotherapeutisch kompas. Gearchiveerd op 24 september 2015.

