Mitsunobu-reactie
De mitsunobu-reactie (ook wel aangeduid als de mitsunobu-inversie) is een organische reactie die een alcohol kan omzetten in een uitgebreide reeks andere functionele groepen, zoals esters of aziden, met behulp van trifenylfosfine en di-ethylazodicarboxylaat (DEAD).[1] De reactie wordt vooral gebruikt in combinatie met secundaire alcoholen, en indien de hydroxylgroep aan een chiraal centrum gebonden is bekomt men een geïnverteerd product. De reactie werd ontdekt door de Japanse scheikundige Oyo Mitsunobu (1934-2003).

Reactiemechanisme
Het reactiemechanisme[2] van de mitsunobu-reactie is redelijk complex, en de exacte intermediaire producten en hun rollen zijn nog niet allemaal bekend. De gehele reactie vindt plaats in één beweging; alle reagentia worden tegelijk samengevoegd.
Eerst voert de trifenylfosfine (2) een nucleofiele aanval uit op DEAD (1). Het gevormde anion 3 is basisch genoeg om het geprotoneerde nucleofiel 4 (in dit geval een carbonzuur) te deprotoneren. Voorwaarde is wel dat de pKa van het geprotoneerde nuceofiel lager is dan 15.
DEAD kan ook het alcohol deprotoneren (6), waarbij een alkoxide-ion gevormd wordt. Dit alkoxide-ion zal vervolgens de fosfinegroep aanvallen, waardoor het oxyfosfonium-ion 8 gevormd wordt. Het oxyfosfonium-ion wordt ten slotte aangevallen door het nucleofiel in een SN2-reactie, waardoor het eindproduct 12 gevormd wordt. De leaving group is hierbij trifenylfosfineoxide (13).

Stereochemie
Daar het (meestal secundair) alcohol netto door middel van een SN2-reactie gesubstitueerd wordt, ondergaat het een inversie van zijn chiraal centrum, als dit aanwezig is. Dit wordt algemeen als het sterkste punt van de mitsunobu-reactie beschouwd. Een alcohol kan onder normale omstandigheden niet door een zwak nucleofiel gesubstitueerd worden, doorgaans is zuur of hitte vereist, maar onder dergelijke omstandigheden wordt de stereochemie van een secundair alcohol meestal niet behouden omdat er (deels) een SN1-reactie plaatsvindt. Ook verliezen minder goede nucleofielen dan vaak hun nucleofiliciteit, omdat ze geprotoneerd worden.
Variaties
Nucleofiel
Door het nucleofiel te wijzigen kunnen allerlei verschillende functionele groepen gevormd worden. Reactie met waterstofazide of difenylfosforylazide (DPPA) geeft een azide, een carbonzuur geeft een ester, een imide vormt een gesubstitueerde imide,[3] een fenol-derivaat geeft een alkylarylether en een sulfonamide vormt een gesubstitueerde sulfonamide.[4]
Alternatieven voor DEAD
Alternatieven voor DEAD zijn onder andere di-tert-butylazodicarboxylaat (DBAD) en di-isopropylazodicarboxylaat (DIAD).
Alternatieve reagentia
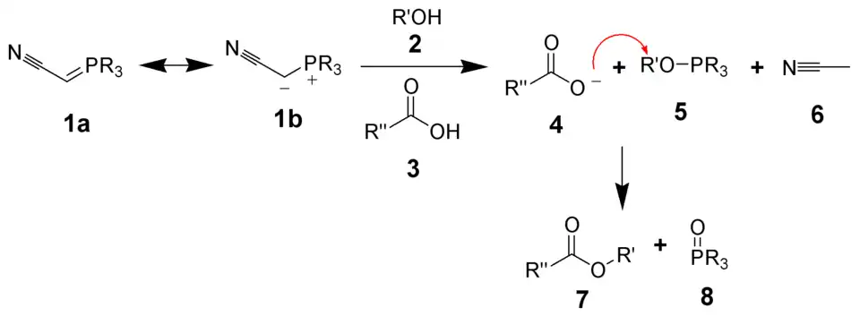
Het is ook mogelijk de functionaliteit van de fosfine en DEAD te combineren in één reagens, zoals bijvoorbeeld (cyanomethyleen)trimethylfosforaan (CMMP) en (cyanomethyleen)tributylfosforaan (CMBP), die zeer effectief blijken. Op onderstaand voorbeeld wordt (cyanomethyleen)trialkylfosforaan gebruikt (R=willekeurige alkylgroep), met als bijproducten acetonitril (6) en een trialkylfosfineoxide (8).

Zie ook
Externe link
- (en) The Mitsunobu Reaction door Kevin Jantzi
- ↑ Mitsunobu, O.; Yamada, Y. Bull. Chem. Soc. Japan 1967, 40, 2380-2382.
- ↑ Clayden, J., Greeves, N., Warren, S., Wothers, P. (2009). Organic Chemistry. Oxford University Press, Oxford, "Nucleophilic substitution at saturated carbon.", pp. 431-433. ISBN 978-0-19-850346-0.
- ↑ Hegedus, L. S.; Holden, M. S.; McKearin, J. M. Organic Syntheses, Coll. Vol. 7, p.501 (1990); Vol. 62, p.48 (1984). (Artikel). Gearchiveerd op 6 februari 2012.
- ↑ Kurosawa, W.; Kan, T.; Fukuyama, T. Organic Syntheses, Coll. Vol. 10, p.482 (2004); Vol. 79, p.186 (2002). (Artikel). Gearchiveerd op 6 februari 2012.