Michaeladditie
De michaeladditie is een nucleofiele additie aan α,β-onverzadigde carbonylverbindingen. In deze additie wordt een koolstof-koolstofbinding gemaakt tussen een nucleofiel deeltje en het β-koolstofatoom van de α,β-onverzadigde carbonylverbinding. Het nucleofiele deeltje is een carbanion dat onder basische omstandigheden is gevormd uit een koolstofverbinding. Alleen vrij zure koolstofverbindingen kunnen carbanionen produceren. Deze koolstofverbindingen moeten een –CH- of –CH2- groep hebben die wordt geflankeerd door twee elektronenaantrekkende groepen. De elektronenaantrekkende groepen zijn bijvoorbeeld twee –COOR groepen of één –COOR en één –CN groep. Het resultaat is een adduct.
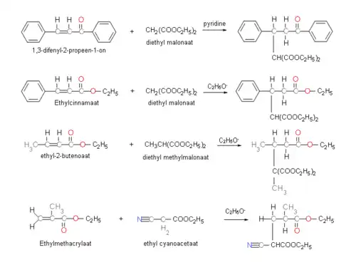
Voorbeelden van michaeladditie[1]

Mechanisme van michaeladditie
Het mechanisme van de michaeladditie wordt aan de hand van een voorbeeld besproken. Het voorbeeld is de additie van een diester van propaandizuur aan een α,β-onverzadigde carbonylverbinding. In de eerste stap wordt het carbanion als volgt gemaakt:

In het negatieve ion is de lading verdeeld over een aantal atomen. Dit is te zien in de volgende grensstructuren van CH(COOR)2−. (Zie voor grensstructuren het onderwerp mesomerie). Door die verdeling van de negatieve lading over meerdere atomen is het carbanion als base zwakker dan een carbanion waar de negatieve lading is geconcentreerd op één koolstofatoom. Dit impliceert dat de diester van propaandizuur als zuur minder zwak is. Het gevolg is dat in aanwezigheid van een base die sterk genoeg is, voldoende van het carbanion ontstaat om de michaeladditie te laten verlopen.

Het carbanion bindt zich via het negatieve koolstofatoom aan het β-koolstofatoom van de carbonylverbinding waarbij een nieuw negatief ion ontstaat dat ook door mesomerie wordt gestabiliseerd. Dit negatieve ion bindt vervolgens een proton aan het α-koolstofatoom.

Bronnen en referenties
- R.T. Morrison and R.N. Boyd, Organic Chemistry, 3rd edition, (New Delhi: Prentice-Hall of India, 1976), Ch. 27
- ↑ Morrison 873-874