Lennard-Jones-potentiaal
De Lennard-Jones-potentiaal is een mathematisch model dat de afstoting en aantrekking tussen twee neutrale atomen of moleculen op verschillende afstanden beschrijft. De Lennard-Jones-potentiaal werd in 1931 opgesteld door de Engelsman John Lennard-Jones.
Conceptbeschrijving
Op zeer korte afstand stoten twee neutrale atomen of moleculen elkaar af door een repulsiekracht ten gevolge van de negatief geladen elektronenwolk. Deze repulsiekracht is oneindig groot op een afstand van 0 ångström en neemt vervolgens af met een factor
waarbij r de afstand is tussen de middelpunten van de twee atomen of moleculen. Op grotere afstand trekken twee neutrale atomen of moleculen elkaar echter aan door vanderwaalskrachten. Deze aantrekkende kracht neemt af met
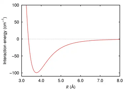
Grafische weergave
De Lennard-Jones-potentiaal is een kromme die de potentiële energie (V) ten gevolge van deze twee krachten beschrijft als functie van de afstand (r). Op zeer korte afstand is de potentiële energie zeer hoog doordat de afstotende kracht groter is dan de aantrekkende kracht. Vervolgens daalt de potentiële energie echter tot onder 0 joule doordat de afstotende kracht veel sneller afneemt (met een 12e macht) dan de aantrekkende kracht (met een 6e macht). Op nog grotere afstand daalt de potentiële energie weer doordat de vanderwaalskrachten steeds zwakker worden.

De potentiaalput is die plaats in de grafiek waarbij de potentiële energie het laagst is. En omdat atomen en moleculen altijd op zoek zijn naar de laagste energietoestand, zal het voor hen dus het gunstigst zijn om op deze afstand van elkaar verwijderd te zijn. Als ze dichter bij elkaar komen, stoten ze elkaar af en als ze verder van elkaar af gaan trekken ze elkaar aan. De potentiaalput ligt meestal rond de 4 ångström (4 × 10−10 meter).
De mathematische formule is van de vorm:
Hierbij is epsilon (ε) de diepte van de potentiaalput en is σ de afstand waarop de potentiële energie gelijk is aan nul.
Verder geeft het model de grootte van de thermische uitzettingscoëfficiënt aan. Wanneer de temperatuur stijgt, stijgt de energie van de deeltjes en wordt de gemiddelde afstand tussen de deeltjes groter. Materialen met een diepe potentiaalput vertonen volgens dit model slechts beperkte thermische uitzetting.