Lehmsted-Tanasescu-reactie
De Lehmstedt-Tanasescu-reactie is een methode om acridonderivaten (3) te synthetiseren vanuit een 2-nitrobenzaldehyde (1) en een arylverbinding (2):

De reactie is genoemd naar twee scheikundigen die een deel van hun loopbaan gewijd hebben aan het onderzoek van deze syntheseweg, namelijk de Duitse chemicus Kurt Lehmstedt en de Roemeense scheikundige Ioan Tănăsescu. Variaties op de reactienaam zijn Lehmstedt-Tănăsescu-reactie, Lehmstedt-Tănăsescu-acridonsynthese en Lehmstedt-Tanasescu-acridonsynthese.
Reactiemechanisme
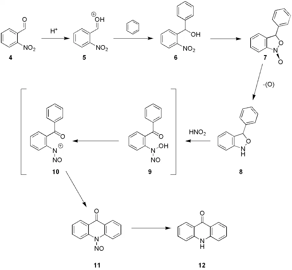
In een eerste stap wordt het precursor 2-nitrobenzaldehyde 4 geprotoneerd (dikwijls door zwavelzuur) tot verbinding 5, gevolgd door een elektrofiele aanval op benzeen (maar andere arenen kunnen ook gebruikt worden). Het resulterende benzhydrol 6 zal cycliseren naar 7 en vervolgens omzetten naar verbinding 8. Behandelen van dit intermediair met salpeterigzuur (natriumnitriet en zwavelzuur) zal leiden tot N-nitrosoacridon 11 via intermediairen 9 en 10. De N-nitrosogroep wordt daaropvolgend verwijderd door zuur. De hele reactie wordt uitgevoerd als een one-pot synthese.
