Kornblum-oxidatie
De Kornblum-oxidatie (soms ook wel Kornblum aldehydesynthese genoemd) is een methode om aldehyden (2) te synthetiseren vanuit primaire alkylhalogeniden of tosylaten (1) met behulp van DMSO. Deze reactie werd voor het eerst beschreven door Nathan Kornblum in 1957.[1]

Reactiemechanisme
Een primair halogenide of tosylaat (3) reageert met DMSO in een SN2-reactie ter vorming van alkoxysulfoniumylide 4. Onder alkalische reactieomstandingheden (typisch tri-ethylamine) zal dit ylide degraderen door eliminatie van HX en ten slotte carbonylverbinding 6 en dimethylsulfide geven.

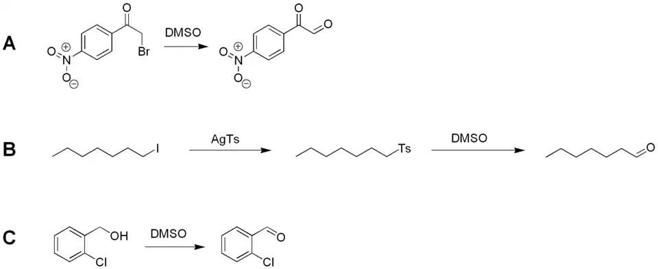
Toepassingen
Deze DMSO-gebaseerde oxidatiemethode kent enkele toepassingen in de organische synthese:

A: De reactie van een fenacylbromide met DMSO geeft een fenylglyoxalverbinding (rendement: 72%)
B: Iodoheptaan wordt met behulp van zilvertosylaat (AgTs) omgezet naar het analoge tosylaat en vervolgens met DMSO omgezet naar heptanal (rendement: 70%)[2]
C: In een reactie heel gelijkaardig aan de Kornblum-oxidatie reageert men o-chloorbenzylalcohol met DMSO ter vorming van o-chloorbenzaldehyde (rendement: 78%)[3]
Zie ook
- Parikh-Doering-oxidatie (oxidatie via DMSO)
- Pfitzner-Moffatt-oxidatie (oxidatie via DMSO)
- Sommelet-reactie (omzetten alkylhalogeniden naar carbonylverbindingen)
- Swern-oxidatie (oxidatie via DMSO)