Ketal

Een ketal is in de organische chemie een functionele groep, waarbij een centraal koolstofatoom is gebonden aan 2 alkoxygroepen en aan twee koolstofsubstituenten (arylgroep of alkylgroep). Formeel gezien is een ketal een acetaal, en vaak wordt ook de term acetaat gebruikt in plaats van ketal.
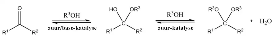
Synthese
Ketalen worden gesynthetiseerd uit een alcohol en een keton met een zuur als katalysator, waarbij het ontstane water als azeotroop met tolueen wordt afgedestilleerd middels een Dean-Stark-apparaat. De eerste stap van de reactie wordt zowel door zuur als base gekataliseerd. Het dan ontstane hemiketal reageert verder onder zure katalyse tot het ketal. Om deze reden wordt, als het ketal het synthesedoel is, de reactie in zuur uitgevoerd en het hemiketal niet geïsoleerd:
