Guanidine

Guanidine, CH5N3, is de geconjugeerde base van guanidinium op dezelfde wijze als ammoniak de geconjugeerde base van het ammonium-ion is. Guanidine is een zeer sterke base, waarvan de sterkte in water niet accuraat bepaald kan worden.[1] De base-sterkte wordt veroorzaakt door de mogelijkheid de positieve lading over de drie stikstofatomen te verdelen. In de tekening van het guanidinium-ion hebben de twee stikstofatomen aan de linkerzijde van het koolstofatoom een vrij elektronenpaar. Deze kunnen beide gebruikt worden om de positieve lading op koolstof en het rechter stikstofatoom te compenseren.

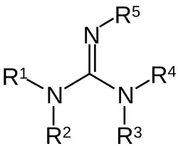
Guanidines zijn derivaten van guanidine en hebben de volgende basisstructuur :

Bronnen, noten en/of referenties
- ↑ Hendrickson, Cram, Hammond: Organic Chemistry (McGraw-Hill) (1970), p. 317