Grieco-eliminatie

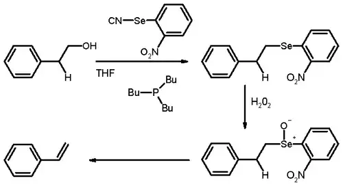
De Grieco-eliminatie is een organische reactie waarbij een primaire alcohol via een selenide wordt omgezet naar een eindstandig alkeen.[1][2]
Eerst wordt de alcohol met o-nitrofenylselenocyanaat en tributylfosfine via nucleofiele substitutie omgezet in het organisch selenide. In de tweede stap wordt het selenide geoxideerd tot een selenoxide, waarbij ook splitsing in het selenol en het eindstandig alkeen optreedt. Het verloop van de reactie is vergelijkbaar met de Cope-eliminatie. Deze reactie wordt toegepast in de totaalsynthese van taxol door Danishefsky.[3]
Bronnen, noten en/of referenties
- ↑ Paul A. Grieco, Sydney Gilman, Mugio Nishizawa. (1976). Organoselenium chemistry. A facile one-step synthesis of alkyl aryl selenides from alcohols J. Org. Chem.. 41 (8): pag.: 1485–1486 DOI:10.1021/jo00870a052
- ↑ K. Barry Sharpless and Michael W. Young. (1975). Olefin synthesis. Rate enhancement of the elimination of alkyl aryl selenoxides by electron-withdrawing substituents J. Org. Chem.. 40 pag.: 947–949 DOI:10.1021/jo00895a030
- ↑ Samuel J. Danishefsky, John J. Masters, Wendy B. Young, J. T. Link, Lawrence, B. Snyder, Thomas V. Magee, David K. Jung, Richard C. A. Isaacs, William G. Bornmann, Cheryl A. Alaimo, Craig A. Coburn, Martin J. Di Grandi. (1996). Total Synthesis of Baccatin III and Taxol J. Amer. Chem. Soc.. 118 (12): pag.: 2843–2859 DOI:10.1021/ja952692a