Furoine
| Furoine | ||||
|---|---|---|---|---|
| Structuurformule en molecuulmodel | ||||
![]() | ||||
Structuurformule va furoine | ||||
| Algemeen | ||||
| Chemische formule | ||||
| IUPAC-naam | 1,2-bis(2-furyl)-2-hydroxy-ethanon | |||
| Molaire massa | 192,170 g/mol | |||
| CAS-nummer | 552-86-3 | |||
| EG-nummer | 209-024-8 | |||
| PubChem | 11100 | |||
| Wikidata | Q5509696 | |||
| Waarschuwingen en veiligheidsmaatregelen | ||||
| ||||
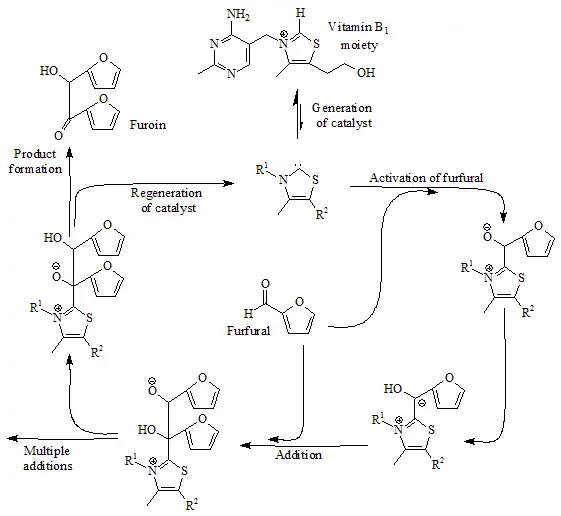
Furoine of 1,2-di(furan-2-yl)-2-hydroxyethanon is een organische verbinding met molecuulformule Het kan via een door cyanide gekatalyseerde Benzoïnecondensatie uit furfural gemaakt worden.[1]
Reacties
Naast de hierboven genoemde (laboratorium)synthese kan furoine ook ontstaan in een door vitamine B1 (thiamine) gekatalyseerde biochemische reactie. In 1957 veronderstelde Breslow dat bij deze reactie een relatief stabiele carbeen-vorm van het vitamine betrokken was.[2][3] In de katalytische cyclus (zie hieronder) reageren twee moleculen furfural, met behulp van een thiazool-2-ylideen-katalysator, ontstaan door het onttrekken van een waterstof-atoom op de 2-positie van het thiamine:

Dat was de eerste aanwijzing voor het bestaan van stabiele carbenen.
Toepassingen
Furoine is toegepast als weekmaker.[1]
- Dit artikel of een eerdere versie ervan is een (gedeeltelijke) vertaling van het artikel Furoin op de Engelstalige Wikipedia, dat onder de licentie Creative Commons Naamsvermelding/Gelijk delen valt. Zie de bewerkingsgeschiedenis aldaar.
- Verwijzingen in de tekst
- 1 2 Denis Lorient (1999), New ingredients in food processing: biochemistry and agriculture. Woodhead Publishing ISBN 1-85573-443-5 366 pages. Gearchiveerd op 11 juli 2023.
- ↑ Ronald Breslow (1957). Mechanism of Thiamine Action: Participation of a Thiazolium Zwitterion. Chemistry and Industry 26: 893.
- ↑ R. Breslow (1957). Rapid Deuterium Exchange in Thiazolium Salts. Journal of the American Chemical Society 79 (7): 1762–1763. DOI: 10.1021/ja01564a064.
