Fosfodi-esterbinding


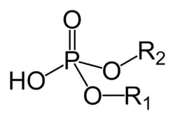
Een fosfodi-esterbinding (kortweg: fosfodi-ester) is een relatief sterke covalente binding tussen een fosfaatgroep en 2 alcoholen, via 2 esterbindingen. Meer specifiek wordt de naam gebruikt voor de binding tussen een fosfaatgroep en twee koolhydraatringen.
Rol in DNA en RNA
Fosfodi-esterbindingen vervullen een centrale rol in alle levende organismen op aarde, aangezien ze de ruggengraat vormen voor de DNA- en RNA-structuur, de chemische bouwstenen van de genetische informatie in de cel. In DNA en RNA vormt de fosfodi-esterbinding een binding tussen het 3'-koolstofatoom van de ene (desoxy)ribosesuiker en het 5'-koolstofatoom van het andere (desoxy)ribosesuiker.[1]
De fosfaatgroep in fosfodi-esters is negatief geladen (de negatieve lading bevindt zich op de vrije zuurstofatomen). Omdat fosfaatgroepen een pKa-waarde nabij 2[2] hebben, zijn ze negatief geladen bij pH 7.
De dubbele helicale structuur van DNA levert daarom een probleem: de negatief geladen fosfaatgroepen kunnen niet naar elkaar toe gericht zijn, omdat ze elkaar volgens de wet van Coulomb afstoten, tenzij er positieve deeltjes aanwezig zijn die als tegenion fungeren. Een van de onderzoeksdoelen in de vroege jaren 50 van de 20e eeuw het vaststellen welke positief geladen deeltjes de ketens bij elkaar houden. In de tegenwoordige visie op de bouw van DNA zitten de fosfodi-esterbindingen naar de buitenzijde van het DNA, waar ze met name door histoneiwitten, en in mindere mate door metaalionen (natrium, kalium en magnesium) en polyamines elektrisch geneutraliseerd worden.
Fosfodi-esterbindingen kunnen gebroken worden door hydrolyse van de esters. Deze hydrolyse vindt plaats in het bijzijn van een biologische katalysatoren (enzymen), de zogenaamde fosfodi-esterases.
- ↑ Desoxyribosesuiker komt voor in DNA, ribosesuiker in RNA.
- ↑ pKa-waarde van de eerste stap van fosforzuur is 2,15.