Favorski-omlegging
De favorski-omlegging is de reactie van α-haloketonen (chloor, broom of iood) met een alkoxide-ion waarbij esters gevormd worden. Het gebruik van hydroxide of amine als base zal leiden tot het vrije carbonzuur in plaats van het ester. Cyclische α-haloketonen geven aanleiding tot ringcontractie:

De reactie werd in 1894 ontdekt door de Russische scheikundige Aleksej Favorski.
Reactiemechanisme
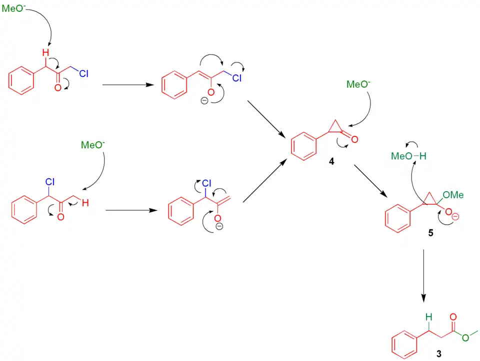
Het heeft tot 1944 geduurd vooraleer men een idee kreeg over het werkelijke verloop van de omleggingsreactie. Dit inzicht is gekomen doordat zowel verbinding 1 als 2 in hetzelfde eindproduct 3 resulteren. Daarom is men ervan uitgegaan dat beide stoffen via hetzelfde intermediair reageren.

Er is bewijs dat een cyclisch keton een gemeenschappelijk intermediair vormt. Dit keton, cyclopropanon 4, wordt zowel vanuit 1 als 2 gevormd na behandelen met alkoxide. De rol van deze laatste is de vorming van een reactief enolaat dat na intramoleculaire reactie cyclopropanon 4 zal geven. Dit intermediair zal aangevallen worden door het nucleofiele alkoxide (methoxide in dit geval) om te resulteren in tetraëdrisch intermediair 5. Benzyl is in dit geval de betere leaving group en vormt na abstractie van een waterstofion van het alcohol eindproduct 3.

Hetzelfde mechanisme is verantwoordelijk voor de ringcontractie van cyclische α-haloketonen:

Toepassingen
Men kan vele toepassingen vinden van de favorski-omlegging in de wetenschappelijke literatuur. Een van de vele voorbeelden is de synthese van cubaan, een verbinding met een relatief moeilijk te synthetiseren koolstofskelet. In een eerste stap wordt de vijfring herleidt naar een vierring via een favorski-omlegging en KOH als base. Het resulterende cubaancarbonzuur wordt in enkele stappen gedecarboxyleerd en geeft uiteindelijk de stamverbinding cubaan.

Referenties
- M.B. Smith, J March. March's Advanced Organic Chemistry, Wiley, 2001, ISBN 0-471-58589-0
- J. Clayden e.a. Organic Chemistry, Oxford University Press, 2001, ISBN 0-19-850346-6