Cyclofosfamide
| Cyclofosfamide | ||||
|---|---|---|---|---|
| Structuurformule en molecuulmodel | ||||
![]() | ||||
Structuurformule van de twee enantiomeren van cyclofosfamide | ||||
| Algemeen | ||||
| Chemische formule | C7H15Cl2N2O2P | |||
| IUPAC-naam | (RS)-N,N-bis(2-chloorethyl)-1,3,2-oxazafosfinaan-2-amine-2-oxide | |||
| Molaire massa | 261,085961 g/mol | |||
| SMILES | C1CNP(=O)(OC1)N(CCCl)CCCl | |||
| InChI | 1S/C7H15Cl2N2O2P/c8-2-5-11(6-3-9)14(12)10-4-1-7-13-14/h1-7H2,(H,10,12) | |||
| CAS-nummer | 50-18-0 | |||
| EG-nummer | 200-015-4 | |||
| PubChem | 2907 | |||
| Wikidata | Q408524 | |||
| Waarschuwingen en veiligheidsmaatregelen | ||||
| ||||
| H-zinnen | H301 - H350 | |||
| EUH-zinnen | geen | |||
| P-zinnen | P201-P301+P310-P308+P313 | |||
| Carcinogeen | ja (IARC-klasse 1) | |||
| Opslag | Gescheiden van voeding en voedingsmiddelen. Droog, goed gesloten en in het donker bewaren. | |||
| VN-nummer | 2811 | |||
| ADR-klasse | Gevarenklasse 6.1 | |||
| LD50 (muizen) | (oraal) 137 mg/kg | |||
| Fysische eigenschappen | ||||
| Aggregatietoestand | vloeibaar | |||
| Kleur | kleurloos | |||
| Smeltpunt | (monohydraat) 41-45 °C | |||
| Oplosbaarheid in water | 40 g/L | |||
| Goed oplosbaar in | water | |||
| Onoplosbaar in | water | |||
| Tenzij anders vermeld zijn standaardomstandigheden gebruikt (298,15 K of 25 °C, 1 bar). | ||||
| ||||
Cyclofosfamide (handelsnaam: Endoxan®) is een organische verbinding met als brutoformule C7H15Cl2N2O2P. De stof komt in zuivere toestand voor als een kleurloze vloeistof, die goed oplosbaar is in water. Meestal komt het monohydraat voor: dit is een wit reukloos kristallijn poeder. Bij verlies van de molecule kristalwater wordt het vloeibaar.
De stof is opgenomen in de lijst van essentiële geneesmiddelen van de WHO.
Synthese
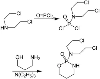
Cyclofosfamide kan bereid worden uit bis(2-chloorethyl)amine en fosfor(V)oxychloride. Het ontstane fosforzuuramidedichloride levert bij omzetting met 3-amino-1-propanol in aanwezigheid van tri-ethylamine uiteindelijk cyclofosfamide:

Synthese van cyclofosfamide
Toepassingen
Cyclofosfamide is een alkyleringsreagens dat onder de groep der stikstofmosterdgassen valt. De stof kan bij kankerbehandeling worden gebruikt, omdat het een alkylgroep aan het DNA hecht. De alkylgroep wordt meer bepaald aan guanine vastgemaakt: aan het zevende stikstofatoom van de imidazoolring.
Toxicologie en veiligheid
De stof ontleedt bij verbranding, met vorming van giftige dampen van onder andere fosforoxiden, stikstofoxiden, koolstofdioxide en koolstofmonoxide.
Cyclofosfamide is irriterend voor de ogen, de huid en de luchtwegen. De stof kan effecten hebben op het bloed, de urineblaas, het centraal zenuwstelsel en het hart. Ze is kankerverwekkend bij de mens[1] maar wordt ook toegepast als cytostaticum.[2]
Zie ook
Externe links
- ↑ (en) Cytostatics (Antineoplastic drugs): IARC Working Group, 2000. Carcinogenic Risk In Occupational Settings (CRIOS) (2000). Geraadpleegd op 27 oktober 2015.
- ↑ Medicijn: cyclofosfamide


