Corey-Seebach-reactie
De Corey-Seebach-reactie is een organische reactie waarbij een aldehyde in een aantal stappen omgezet wordt in een keton. De centrale methodologie van de reactie berust op een umpolung van de carbonylgroep.

De reactie is genoemd naar Dieter Seebach en Elias J. Corey.[1][2]
Reactiemechanisme
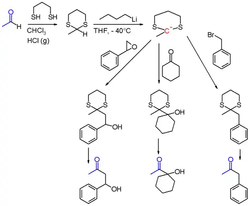
De reactie start met de vorming van een dithiaan 2, een cyclisch dithio-acetaal, gevormd door het aldehyde en een dithiol zoals 1,3-propaandithiol. Dit wordt met een sterke base als n-butyllithium gedeprotoneerd tot het gelithieerd carbanion 3; hier vindt de eigenlijke ompoling plaats. Het carbanion is een sterk nucleofiel dat met een elektrofiel, zoals een halogeenalkaan, reageert tot het dithio-acetaal 4.
Acetaal 4 wordt ten slotte gesplitst, waarbij het overeenkomstig keton (5) bekomen wordt. Omdat het dithiaan een stabiele verbinding is, vereist dit strengere reactieomstandigheden dan een typische zure hydrolyse. Om dithianen te hydrolyseren wordt typisch gebruikgemaakt van een kwikzout, zoals kwik(II)chloride. Kwik heeft immers een grote affiniteit voor zwavel, conform de HSAB-theorie. Het oorspronkelijke dithiol wordt nu verkregen als een kwikzout, en kan dus niet opnieuw in de reactie ingezet worden.

Varianten
De dithianen in de Corey-Seebach-reactie kunnen ook met andere elektrofielen reageren:
- Met epoxiden worden β-hydroxy-ketonen gevormd
- Met ketonen worden α-hydroxy-ketonen gevormd
- Met esters en acylchloriden worden 1,2-diketonen gevormd

De Corey-Seebach-reactie is toepasbaar in het laboratorium, maar ze is niet geschikt voor grootschalige syntheseroutes, onder meer omwille van het giftige kwikzout dat in stoichiometrische hoeveelheid nodig is om het dithio-acetaal te splitsen, en de hoge kost van dithiolen, die niet kunnen gerecycleerd worden. Bovendien hebben thiolen en dithiolen vaak een onaangename geur.
Externe link
- (en) Corey-Seebach reaction - Organic Chemistry Portal
- ↑ Dieter Seebach, Elias J. Corey. "Generation and synthetic applications of 2-lithio-1,3-dithianes." Journal of Organic Chemistry (1975), vol. 40 nr. 2, pp. 231-237. DOI:10.1021/jo00890a018
- ↑ E.J. Corey, D. Seebach. "Carbanions of 1,3-Dithianes. Reagents for C-C Bond Formation by Nucleophilic Displacement and Carbonyl Addition." Angewandte Chemie International Edition (1965), vol. 4 nr. 12, pp. 1075-1077. DOI:10.1002/anie.196510752