Conrad-Limpach-synthese
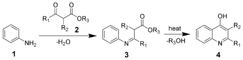
De Conrad-Limpach-synthese is een organische reactie, waarbij een aniline (1) met een β-ketoester (2) omgezet wordt tot een Schiff-base (3), die daaropvolgend verhit wordt tot het overeenkomstige hydroxychinolinederivaat (4):[1][2]

De reactie vertoont grote gelijkenissen met de Combes-chinolinesynthese.