Cathinon
| Cathinon | ||||
|---|---|---|---|---|
| Structuurformule en molecuulmodel | ||||
![]() | ||||
Structuurformule van cathinon | ||||
| Algemeen | ||||
| Chemische formule | C9H11NO | |||
| IUPAC-naam | (S)-2-amino-1-fenyl-1-propanon | |||
| Andere namen | norefedron, 2-aminopropiofenon, β-ketoamfetamine, benzoylethanamine, β-ketoamfetamine | |||
| Molaire massa | 149,19 g/mol | |||
| SMILES | C[C@@H](C(=O)C1=CC=CC=C1)N | |||
| InChI | 1/C9H11NO/c1-7(10)9(11)8-5-3- 2-4-6-8/h2-7H,10H2,1H3/t7-/m0/s1 | |||
| CAS-nummer | 71031-15-7 | |||
| PubChem | 62258 | |||
| Wikidata | Q414242 | |||
| Waarschuwingen en veiligheidsmaatregelen | ||||
| ||||
| H-zinnen | H302 - H315 - H319 - H335 | |||
| EUH-zinnen | geen | |||
| P-zinnen | P261 - P305+P351+P338 | |||
| ||||
Cathinon (ook bekend als benzoylethanamine of β-ketoamfetamine) is het werkzame bestanddeel in de drug qat. Het is een amfetamine-achtig stimulerend middel dat licht psychisch verslavend is. Cathinon is de stamverbinding van een grote groep cathinonen.
Cathinon is onstabiel en om deze reden gebruiken qatgebruikers de plant het liefst vers. Als de plant 48 uur lang niet gekoeld bewaard is, bevatten de bladeren uitsluitend nog cathine.[1]
Geschiedenis
Isolatie en identificatie
Qat wordt al van oudsher in de Hoorn van Afrika en het Arabisch Schiereiland gekweekt. Doorgaans worden de bladeren gekauwd vanwege het euforische effect. De zoektocht naar de actieve component leidde in de jaren 30 van de 20e eeuw naar cathine als het meest voorkomende alkaloïde in de plant.[2] Cathine werd als de meest actieve component in de plant beschouwd. Cathine heeft een vergelijkbare moleculaire structuur (het keton is een OH-groep). In de jaren 60 bleek echter dat de hoeveelheid cathine in de bladeren te klein was om verantwoordelijk te zijn voor de grootte van het euforisch effect. In 1975 werd in khat-bladeren uit Jemen, Kenia en Madagaskar cathinon gevonden.[2] Voor wetenschappers werd cathinon daarmee een belangrijke kandidaat voor de echte actieve component.[2] Dit werd in 1994 bevestigd in een dubbelblind onderzoek.[3]
Culturele betekenis

Meer dan 20 miljoen mensen op het Arabisch Schiereiland en in Oost-Afrika gebruiken (kauwen) dagelijks qat. Daarmee vormt dit gebruik een belangrijk onderdeel van zowel de cultuur als de economie van dit gebied, met name in Ethiopië (waar, naar men zegt, qat oorspronkelijk vandaan komt), Kenia, Djibouti en Jemen. Het is gebruikelijk dat mannen tijdens sociale bijeenkomsten qat kauwen in combinatie met roken en het drinken van thee. Boeren en andere handarbeiders gebruiken qat in de namiddag ter bestrijding van honger en vermoeidheid tijdens het voortschrijden van de dag. Cathinon heeft hierbij een vergelijkbare anti-vermoeidheidsfunctie als cafeïne in een sterke kop koffie. Van studenten en chauffeurs is bekend dat ze om deze reden qat gebruiken.[4] Om het gewenste effect te hebben dienen de qat-bladeren zo vers mogelijk te zijn. In de vers geoogste bladeren is de concentratie cathinon het grootst. Te lang wachten na de oogst van de bladeren heeft tot gevolg dat dat het aanwezige cathinon omgezet wordt in de minder werkzame stof cathine. Om deze reden is het kauwen van qat historisch gezien vooral belangrijk in het gebied waar de qat-plant voorkomt. De verbetering van de vervoersmogelijkheden in de laatste decennia hebben tot gevolg gehad dat het gebruik zich over de hele wereld verspreid heeft.
In Jemen is de teelt van qat voor boeren een zeer profijtelijke activiteit. De kwaliteit van de geteelde qat (het gehalte cathinon) is sterk klimaat-afhankelijk.[5] In het algemeen groeit de plant minder goed in kustgebieden met een heet klimaat. In Jemen worden de planten genoemd naar de regio waarin ze geteeld zijn. De Nehmi qatplant is de qat met de hoogste bekende concentratie cathinon: 342,5 mg/100 g.[5]
Cathinon en de wet
Internationaal valt cathinon onder de Convention on Psychotropic Substances als een Schema I drug.[6]
De verkoop van qat is legaal in sommige gebieden maar illegaal in andere. Derivaten van cathinon worden als partydrugs gebruikt, zoals mefedrine en 3-MMC. In de Verenigde Staten worden deze stoffen soms als badzout aangeduid.[7][8][9] In de tabel hieronder is voor een aantal gebieden aangegeven wat de legale status van qat en cathinon is.
| Gebied | Regelgeving |
|---|---|
| Ethiopië | Legaal |
| Somalië | Legaal |
| Djibouti | Legaal |
| Kenia | Qat is legaal maar cathinon en cathine worden tot Klasse C gerekend |
| Zuid-Afrika | Qat is een beschermde plant |
| China | Illegaal |
| Israel | Legaal - De bladeren van qat mogen gekauwd worden en dranken met khat zijn legaal, maar het verkopen van pillen met extracten van cathinon is illegaal |
| Maleisië | Illegaal |
| Saoedi-Arabië | Illegaal |
| Jemen | Qat is legaal, maar de teelt en verkoop van de plant is door de overheid gereguleerd |
| Denemarken | Illegaal |
| Finland | Illegaal |
| Frankrijk | Qat is verboden als stimulans |
| Duitsland | Qat is illegaal, maar derivaten van cathinon zijn op recept verkrijgbaar |
| Ierland | Illegaal, tenzij met vergunning |
| Nederland | Illegaal |
| Noorwegen | Illegaal |
| Polen | Illegaal |
| Zweden | Illegaal |
| Zwitserland | Illegaal |
| Groot-Brittannië | Illegaal |
| Canada | Illegaal, tenzij op medisch recept voorgeschreven |
| Verenigde Staten | Illegaal |
| Australië | Qat valt onder de Australische importregels voor levend materiaal. Voor persoonlijk gebruik is een invoervergunning mogelijk. |
| Nieuw-Zeeland | Illegaal |
| Georgië | De qatplant zelf mag verbouwd en gekauwd worden, het is illegaal qat-houdende dranken te verkopen of te maken |
Biologische aspecten
Gezondheidsaspecten
De eerste vermelding van het gebruik van qat als medicijn is te vinden bij een 10e-eeuwse Arabische medicus.[5] De plant werd toegepast als antidepressivum vanwege het gevoel van geluk dat met het kauwen gepaard gaat. Het dagelijks kauwen van qat kan, zoals uit dierexperimenten blijkt, leiden tot verslaving.[5]
Het lichamelijk effect van cathinon en het kauwen van qat kent grote inter-persoonlijke verschillen, al is er wel een algemene trend en opeenvolging van fasen aan te geven in de somatische en psychische effecten:[5]
- Een euforisch gevoel dat één tot twee uur aanhoudt.
- Diepgaande gesprekken maar ook een gevoel van snelle geïrriteerdheid.
- De verbeelding van de kauwer is zeer actief
- Een depressieve fase.
- Irritatie, anorexia en slapeloosheid
Naast bovengenoemde effecten, die allemaal samenhangen met de beïnvloeding van het centraal zenuwstelsel, kunnen reflux en constipatie na een qat-sessie optreden. Langetermijneffecten zijn onder andere: parodontitis, mondkanker, hart- en vaatziekten en depressie.[5]
De ontwenningsverschijnselen omvatten: opvliegers, lethargie en minstens de eerste twee dagen een sterk verlangen naar de drug.[5]
Mechanisme van de werking
De werking van cathinon berust op de interactie ervan met een aantal processen in het centraal zenuwstelsel:
- het vrijkomen van dopamine wordt gestimuleerd.
- de resorptie van adrenaline, noradrenaline en serotonine wordt tegengegaan.
Deze neurotransmitters horen allemaal bij de monoamines en zij hebben een aromatische ring en een aminogroep gemeenschappelijk, steeds van elkaar gescheiden door een brug van 2 koolstofatomen.[1][5]
Cathinon is een hydrofobe stof. Om deze reden kan de stof makkelijk celmembranen en andere biologische compartimenteringsstructuren passeren. Ook de bloed-hersenbarrière vormt hierdoor voor cathinon geen probleem.[10] Deze laatste eigenschap stelt cathinon in staat het transport van de mono-amine neurotransmitters in de synaptische spleet te beïnvloeden. Onder invloed van cathinon wordt dopamine vrijgemaakt.[11]
De metabolieten van cathinon, cathine en noradrenaline stimuleren het centraal zenuwstelsel ook, maar met een minder sterk effect.[12] Het effect van cathinon kan bestreden worden door vooraf aan het gebruik ervan een dopamine-receptor antagonist toe te dienen.[12] De antagonist zorgt dat het neuron in zijn ruststand blijft en voorkomt daarmee dat cathinon dopamine of andere neurotransmitters vrijmaakt.
Cathinon is in staat is in het perifeer zenuwstelsel op adrenaline reagerende receptoren te blokkeren evenals het samentrekken van gladde spieren.[10]
Farmacologie
Bladeren van de qatplant worden van de steel gestript en vervolgens gekauwd als een soort kauwgombal. Door het kauwen komt sap vrij dat onder andere cathinon bevat. De absorptie van cathinon vindt op verschillende plekken plaats:[3]
- in het wangslijmvlies
- in de maag.
- in de dunne darm
De absorptie in de maag en de dunne darm zijn in het geheel de opname van alkaloïden erg belangrijk.[3] Ongeveer 2,3 uur na het kauwen van de bladeren wordt de maximumconcentratie van cathinon in het bloedplasma bereikt, de gemiddelde verblijftijd is 5,2 ± 3,4 uur.[3] De halfwaardetijd voor het verwijderen van cathinon is 1,5 ± 0,8 uur.[3] De absorptie en eliminatie van cathinon kan het beste beschreven worden met een twee-compartimentenmodel. Daarnaast is, gezien de grote spreiding, ook duidelijk dat er grote individuele verschillen bestaan in de tijd dat cathinon in het lichaam actief kan zijn.
Van de totale hoeveelheid cathinon wordt maximaal 7% in de urine teruggevonden.[3] Dit betekent dat cathinon in het lichaam wordt afgebroken. Cathinon wordt omgezet in noradrenaline en cathine. De reductie van de ketongroep van cathinon tot cathine wordt gekatalyseerd door enzymen in de lever. De spontane reductie van cathinon is de achtergrond van het feit dat bij voorkeur de bladeren direct na het oogsten gebruikt worden.[3]
Chemie
Cathinon en de daarvan afgeleide verbindingen zijn in de groep amfetamine-achtige verbindingen eigenlijk een vreemde eend in de bijt: de ketongroep komt alleen bij de cathinonen voor.
Biosynthese
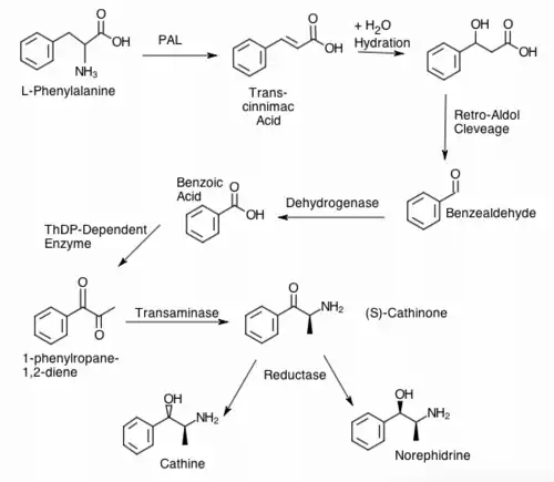
| Figuur 1: | Biosynthese van cathinon via de niet-β-oxidatieve route in de qatplant |
|---|---|
![]() | |
Zie Figuur 1
De biosynthese van cathinon in qat start met het gewone proteïnogene aminozuur fenylalanine. Met behulp van het enzym L-fenylalanine ammonia lyase (PAL[13]) wordt de aminogroep afgesplitst, tegelijkertijd ontstaat een dubbele band: 3-fenylpropeenzuur of kaneelzuur.[14] Na deze stap zijn er twee verschillende routes:
- Via de bèta-oxidatie-route wordt het reactieproduct omgezet in benzoyl-CoA.
- Via een niet bèta-oxidatieve route wordt benzoëzuur gevormd.[14]
Via een condensatiereactie met pyruvaat (2-oxopropaanzuur)[15] wordt onder afsplitsing van CO2 1-fenylpropaan-1,2-dion gevormd.[14] Via een transaminering wordt een van de ketongroepen door een amine vervangen, waarbij (S)-cathinon wort gevormd. Via een reductie wordt uit (S)-Cathinon vervolgens het structureel vergelijkbare maar neurologisch minder actieve cathine en norefedrine (in het Engels, en dus ook in figuur 1 hiernaast: epinephrine) gevormd.[14]
Naast de β-oxidatieve en de niet-β-oxidatieve route is ook een CoA-afhankelijke synthese mogelijk. Deze route is eigenlijk een mengvorm van de twee routes. De start van deze mogelijkheid is gelijk aan de β-oxidatieve route. Na verlies van CoA eindigt de synthese via de niet β-oxidatieve route. Het uit fenylalanine gemaakte trans-kaneelzuur (E-3-fenyl-propeenzuur) wordt gekoppeld aan Coenzyme A (CoA). Vervolgens wordt de dubbele band gehydrateerd, net als in het begin van de β-oxidatieve route.[14] Na afstoten van een acetyl-CoA-eenheid levert dit benzaldehyde, een van de tussenstappen in de niet-β-oxidatieve route. Via benzoëzuur wordt vervolgens deze route verder gevolgd.[14]
Chemische synthese van Cathinon
De eenvoudigste bron van cathinon is uiteraard het extract ervan uit Catha edulis. Cathinon is zowel een keton als een amine, waardoor dimerisatie dreigt, vooral als de stof als vrije base uit het plantenmateriaal geïsoleerd wordt.[16] Een puur chemische synthese is echter niet echt moeilijk.
Achirale synthese
| Figuur 2: | Racemisch cathinon uit propiofenon |
|---|---|
![]() | |
Zie Figuur 2
Een syntheseroute, uitgaande van benzeen en propionylchloride (Friedel-Craftsacylering),[10] via propiofenon en α-bromopropiofenon is betrekkelijk eenvoudig. Deze route heeft één nadeel: behalve naar voren toe (zoals in echte cathinon) staat de aminogroep bij de helft van de moleculen naar achteren staan en het product is racemisch.
Chirale synthese
| Figuur 3: | Synthese van zuiver S-cathinon |
|---|---|
![]() | |
Zie Figuur 3
Het racemaat kan voorkomen worden door uit te gaan van de al chirale verbinding S-alanine, een van de natuurlijke, proteïnogene aminozuren.[10] Het alanine wordt eerst geacetyleerd ter bescherming van de aminogroep in de volgende reactiestappen. In een one-pot-reactie wordt de zure kant van het beschermde aminozuur omgezet met PCl5 in het zuurchloride, dat vervolgens onder invloed van het ook aanwezige aluminiumchloride in een Friedel-Crafts-acylering aan benzeen gekoppeld wordt. De laatste stap wordt gevormd door het verwijderen van de beschermende acetylgroep met behulp van warme zoutzuur. Op deze manier wordt optisch zuiver S-(-)-cathinon verkregen.[10]
Cathinonen

De chemische structuur van cathinon vormt de basis van een groep monoamine alkaloïden. Voorbeelden zijn: methcathinon, MDPV, mefedron, 3-MMC, methylone en het antidepressivum bupropion.
Via reductie van de ketongroep ontstaan, afhankelijk van de stereochemie cathine of noradrenaline. De spontane reductie van cathinon tot cathine is de reden dat de bladeren vers geoogst gebruikt worden. Cathine is een minder actieve versie van cathinon.[17] Cathinon en methcathinon zijn chemisch op dezelfde manier verwant als amfetamine en methamfetamine. Cathinon verschilt van amfetamine door het bezit van de ketongroep, de dubbel gebonden zuurstof (C=O) op de β-positie in de zijketen van de aromatische ring.
Veel derivaten van cathinon bevatten substituenten op de aminogroep van het molecuul. Voor een aantal van deze stoffen zijn medische toepassingen bekend. Bupropion is een van de meest voorgeschreven antidepressiva. In de molecuulstructuur van deze stof is de aminogroep van cathinon voorzien van een tertiaire butylgroep, terwijl de aromatische ring een chlooratoom op de 3-positie draagt.[17]
Andere cathinonderivaten zijn sterk psychoactieve drugs. Een voorbeeld uit deze groep is methylone, een drug structureel verwant aan MDMA.
- Dit artikel of een eerdere versie ervan is een (gedeeltelijke) vertaling van het artikel Cathinone op de Engelstalige Wikipedia, dat onder de licentie Creative Commons Naamsvermelding/Gelijk delen valt. Zie de bewerkingsgeschiedenis aldaar.
Externe links
- 1 2 T. Favrod-Coune, B. Broers. (2010). The health effect of psychostimulants: a literature review Pharmaceuticals. 3 (7): pag.: 2333–2361 DOI:10.3390/ph3072333 Dit is een openaccessartikel, beschikbaar onder de licentie Creative Commons Naamsvermelding (CC BY; versie 3.0).
- 1 2 3 N.B. Patel. (2009). Mechanism of Action of Cathinone: The Active Ingredient of Khat (Catha Edulis) East African Medical Journal. 77 (6): pag.: 329–332 DOI:10.4314/eamj.v77i6.46651 PubMed: 12858935
- 1 2 3 4 5 6 7 Peter Wilder, Karoline Mathys, Rudolf Brenneisen, Peter Kalix, Hans-Ulrich Fisch. (1994). Pharmacodynamics and Pharmacokinetics of Khat: A Controlled Study Clinical Pharmacology and Therapeutics. 55 (5): pag.: 556–562 PubMed: 7910126
- ↑ Alex Kirby. Yemen's khat habit soaks up water BBC . Gearchiveerd op 13 oktober 2022.
- 1 2 3 4 5 6 7 8 Ahmed Al-Motarreb, Kathryn Baker, Kenneth J. Broadley. (2002). Khat: Pharmacological and Medical Aspects and Its Social Use in Yemen Phytotherapy Research. 16 (2): pag.: 403–313 DOI:10.1002/ptr.1106 PubMed: 12203257
- ↑ (2003). List of psychotropic substances under international control Ed.: International Narcotics Control Board United Nations
- ↑ (20 September 2012). GEEN TITEL OPGEGEVEN Synthetic Street Drug Camouflaged as Bath Salts Has Dangerous, Bizarre Effects. PBS NewsHour . Gearchiveerd op 22 januari 2014.
- ↑ Drugs and dance as Israelis blot out intifada The Guardian Internetpagina: Drugs and dance as Israelis blot out intifada (alleen samenvatting, voor volledig artikel is betaald abonnement nodig)
- ↑ What you need to know about flakka, the latest drug causing erratic behaviour Globalnews Internetpagina: What you need to know about flakka, the latest drug causing erratic behaviour (alleen samenvatting, voor volledig artikel is betaald abonnement nodig) . Gearchiveerd op 2 juli 2022.
- 1 2 3 4 5 Kevin B. Hugins. Cathinone: History, Synthesis, and Human Applications . Gearchiveerd op 17 september 2021.
- ↑ P. Kalix. (1981). Cathinone, an alkaloid from khat leaves with an amphetamine-like releasing effect Psychopharmacology (Berl.). 74 (3): pag.: 269–270 DOI:10.1007/BF00427108 PubMed: 6791236
- 1 2 Cathinone (Drug Bank) Internetpagina: Cathinone (alleen samenvatting, voor volledig artikel is betaald abonnement nodig)
- ↑ PAL: Engels: L-Phenylalanine Ammonia Lyase
- 1 2 3 4 5 6 Jillian M. Hagel, Raz Krizevski, Korey Kilpatrick, Yaron Sitrit, Frédéric Marsolais, Efraim Lewinsohn, Peter J. Facchini. (2011). Expressed Sequence Tag Analysis of Khat (Catha Edulis) Provides a Putative Molecular Biochemical Basis for the Biosynthesis of Phenylpropylamino Alkaloids Genetics and Molecular Biology. 34 (4): pag.: 640–646 DOI:10.1590/S1415-47572011000400017 PubMed: 22215969
- ↑ De condensatiereactie wordt gekatalyseerd door een thiamine difosfate-afhankelijk enzym.
- ↑ Alexander Shulgin. 4-Hydroxy-5-methoxy-N,N-dimethyltryptamine, Psilocybe mushrooms, Psilocin . Gearchiveerd op 22 mei 2023.
- 1 2 Synthetic cathinones drug profile EMCDDA Internetpagina: European Monitoring Center for Drugs and Drug Addiction (alleen samenvatting, voor volledig artikel is betaald abonnement nodig)




