Bucherer-carbazoolsynthese
De Bucherer-carbazoolsynthese is een synthesemethode om carbazolen (3) te bereiden uit naftolen (1) en arylhydrazines (2) met natriumwaterstofsulfiet:

De reactie werd voor het eerst beschreven in 1908 door de Duitse chemicus Hans Bucherer. Mechanistisch is ze verwant aan de Bucherer-reactie, die ontwikkeld is door dezelfde persoon.
Mechanisme
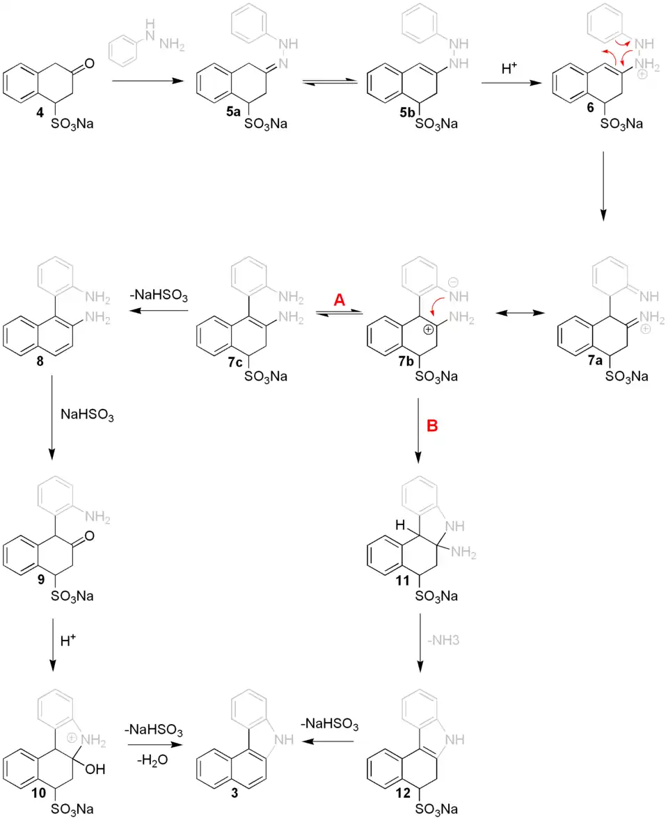
Aan tetralonsulfonzuur 4 (bekomen vanuit naftol, via de Bucherer-reactie) wordt fenylhydrazine toegevoegd, wat resulteert in condensatieproduct 5a. Het tautomeer 5b zal een proton opnemen ter vorming van intermediair 6, dat via een omleggingsreactie omzet in het hoogreactieve intermediair 7a. Vervolgens zijn er vanuit 7b twee reactiewegen mogelijk, namelijk A en B:
- Reactieweg A impliceert dat tautomeer 7c natriumwaterstofsulfiet zal elimineren ter vorming van 8, maar dit product kan weer als precursor dienen voor de Bucherer-reactie. Aldus zal natriumwaterstofsulfiet adderen met vorming van tetralonsulfonzuur 9, dat na opname van een proton zal cycliseren tot 10. Vervolgens zal eliminatie van water en natriumwaterstofsulfiet aanleiding geven tot de vorming van carbazool 3, het eindproduct.
- Bij reactieweg B zal een intramoleculaire reactie resulteren in de vorming van intermediair 11. Deze stof zal relatief makkelijk ammoniak elimineren, waardoor 12 gevormd wordt. Eliminatie van natriumwaterstofsulfiet zal vervolgens leiden tot het eindproduct, carbazool 3.

Er zijn aanwijzingen voor het volgen van zowel reactieweg A als B. Het reactiemechanisme vertoont gelijkenissen met de Fischer-indoolsynthese en de Borsche-Drechsel-cyclisatie.
Zie ook
- Borsche-Drechsel-cyclisatie
- Bucherer-reactie
- Fischer-indoolsynthese
Referenties
- H Bucherer, F Seyde. J prakt Chem 77 (1908) p403
- H Seeboth. Angew Chem Int Ed 6(4) (1967) 307-317 (mechanisme) (DOI)